



     随着近年来金融业组织形式由分业走向混业,越来越多的学者开始研究推动这一趋势的力量。部分学者将传统的产业组织理论应用于银行业的研究,试图探寻金融业组织形式变化与产业集中度、市场竞争态势以及金融业绩效变化之间的关系。虽然此方面的著作颇丰,但关于金融体系设计与产业结构及绩效之间的关系,仍然没有得出统一的结论,很多重要议题(诸如近期理论界所关注的金融业组织形式调整是否会影响到金融体系结构和银行业的运行绩效,以及这种影响是以何种联系机制实现的)仍然处于开放性的理论探讨过程中(Caroline Fohlin,2000)。Scholtens and Wensveen (2000)认为,解释金融业近年来发生的一些巨大变化,应当放弃静态的完美市场范式,采用更为动态的概念,即金融中介理论应当包括金融创新的动态过程以及在此基础上的市场差异化。金融中介能够创造金融产品,并通过转换财务风险、期限、规模、地点和流动性为客户提供增加值,因此,价值增值是现代金融中介发展的主要驱动力。从经济学研究文献来看,对于金融业组织形式由分业走向混业的经济学解释,目前的主流理论依然集中在这一趋势背后可能包含的各种价值驱动因素上,如围绕混业经营产生的关于“范围经济”和“规模经济”的大量实证研究。从已有的研究结果来看,部分学者(Diamond,1991;Rajan,1992;Saunders and Walter,1994;Stein,2002)从信息获取的角度解释了范围经济的存在:信贷过程中金融机构对客户的信息获取能够为其同时提供其他的金融服务(包括证券承销、保险销售以及各种经纪业务等)带来便利。在规模经济方面,Berger,Huncock and Humphrey (1993)研究发现,大银行的效率较高,但即使相同规模的银行,其效率也有明显的差异,而且他们的研究没有发现全能银行和非全能银行之间有明显的效率区别。然而Allen and Rai (1996)对15个国家194家银行的国别效率分析表明,在1992—1993年间,实行分业经营制度国家的银行效率要低于其他国家。Benston (1994)则认为,全能银行在规模经济、范围经济以及X 效率方面要优于专业性金融机构。
      Barth,Caprio and Levine (1997)的比较研究表明,对银行从事证券等非银行业务进行严格限制的国家发生银行危机的可能性较高。Barth and Caprio et al.(2000)选取经济发展水平和政府质量作为控制变量,采用多种计量经济学方法,对1970—1999年间60个发生银行危机的国家进行研究,结果发现:对银行经营范围的管制越严,发生银行危机的概率越高。
     Barth,Caprio and Levine (1997)的比较研究表明,对银行从事证券等非银行业务进行严格限制的国家发生银行危机的可能性较高。Barth and Caprio et al.(2000)选取经济发展水平和政府质量作为控制变量,采用多种计量经济学方法,对1970—1999年间60个发生银行危机的国家进行研究,结果发现:对银行经营范围的管制越严,发生银行危机的概率越高。
    
毋庸置疑,大量学者倾向于通过混业经营能够提高金融机构(主要是银行)的绩效来解释近年来金融业组织形式不断朝混业方向发展的现实性和合理性。然而,在这背后,或许有一些更为重要的问题需要加以系统考察:如果我们以金融业绩效表现为研究标的,那么金融业组织形式的调整能否影响到金融业绩效? 如果金融业组织形式的调整能够影响到金融业绩效,那么这种影响是通过何种传导机制实现的? 在综合纳入其他可能影响金融业绩效的相关因素的前提下,金融业组织形式调整这种影响与其他影响因素相比能达到何种程度? 在金融业组织形式调整的背后,还有其他重要但被忽略的驱动因素吗? 在这些问题的解释上,目前出现了一些零散的研究发现。例如,越来越多的学者在研究过程中纳入了除经济因素之外可能对金融业绩效产生影响的变量(如政府行为变量、法律基础变量等),结果发现:除经济变量(包括宏观变量和微观变量)之外,一些可能影响到经济行为的非经济变量也对金融业的运行产生了显著影响。这些非经济变量对金融绩效、金融发展和金融稳定等方面产生了重要的影响,甚至某些经济变量也是这些非经济变量的间接反映或者最终是通过这些非经济变量产生作用的。
关于金融体系结构的决定,从现有的文献资料来看,主要的研究路径有四条,前文对此已有详细阐述。同时,前面也提到,在社会信用文化与金融体系及其效率之间可能也存在某些直接的联系,而这种联系可以通过增加或者减少交易成本影响到金融体系的结构和绩效,进而影响到金融业组织形式变迁。因此,在下面的研究中,我们会将社会信用文化作为一个独立因子纳入实证分析。
     本研究选取了全球范围内一个具有代表性的样本,共包括63个主要国家和地区的金融和相关数据。
      同时,为了与同时期一些主要研究的发现做比较,我们将样本数据区间定位在1990—1999年。在模型变量的选取上,除了考虑我们所要重点考察的金融体系结构和社会信用文化这两个变量外,还纳入了在过去研究中被广泛提及或使用的某些经济或非经济变量作为模型检验的控制变量,以期反映不同变量之间的真实联系,提高模型的稳定性和解释力。在被解释变量方面,我们的考察目标主要包括:①金融业运行效率;②金融业组织形式;③金融体系结构。在解释变量方面,主要包括三个不同层次的影响因素:宏观经济层面、微观经济层面和社会人文层面。其中,宏观经济数据和银行层面的样本数据主要来源于IMF发布的国际金融统计数据(IFS)、Asli Demirguc-Kunt and Ross Levine (1999)、Barth,Caprio and Levine (2000)以及Bankstat; “社会信用文化”数据取自Lederman,Loayza and Menendez (2000)的调查研究
     同时,为了与同时期一些主要研究的发现做比较,我们将样本数据区间定位在1990—1999年。在模型变量的选取上,除了考虑我们所要重点考察的金融体系结构和社会信用文化这两个变量外,还纳入了在过去研究中被广泛提及或使用的某些经济或非经济变量作为模型检验的控制变量,以期反映不同变量之间的真实联系,提高模型的稳定性和解释力。在被解释变量方面,我们的考察目标主要包括:①金融业运行效率;②金融业组织形式;③金融体系结构。在解释变量方面,主要包括三个不同层次的影响因素:宏观经济层面、微观经济层面和社会人文层面。其中,宏观经济数据和银行层面的样本数据主要来源于IMF发布的国际金融统计数据(IFS)、Asli Demirguc-Kunt and Ross Levine (1999)、Barth,Caprio and Levine (2000)以及Bankstat; “社会信用文化”数据取自Lederman,Loayza and Menendez (2000)的调查研究
      ;政府治理及管理能力指标主要取自LLSV (1998);各国的法律传统及渊源主要参考了LLSV (1997,1998)的分类体系。
     ;政府治理及管理能力指标主要取自LLSV (1998);各国的法律传统及渊源主要参考了LLSV (1997,1998)的分类体系。
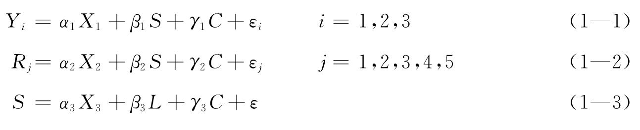
      本研究的模型设定如下:
     本研究的模型设定如下:
    
 
    
     其中,
     
      Y
      
       i
      
     
     作为金融业运行效率的替代变量,主要采用三个具体指标:一是银行净利差(net interest margin,记为
     
      Y
     
     
      1
     
     ),它等于银行利率收入减去利率支出再除以总资产,尽管有许多因素影响利差,但较小的利差通常被认为代表较强的竞争和较高的效率;二是管理成本(记为
     
      Y
     
     
      2
     
     ),等于银行一般管理成本(overhead cost)与银行总资产的比率,较低的管理成本通常被看做是较高效率的标志;三是作为衡量银行效率的一个附带性参考指标——— “银行腐败指数”(记为
     
      Y
     
     
      3
     
     )。该指数越大,表示银行腐败情况越严重;相应地,银行长期效率也将受到不良影响。
     
      R
      
       j
      
     
     (
     
      j
     
     =1,2,3,4,5)作为金融业组织形式的替代变量,根据不同国家对银行业从事证券、保险、房地产和拥有非金融企业的限制程度予以评分。
      该数值越大,表示限制程度越大,相应表明实行混业经营的程度越低。其中,我们用
     
      R
     
     
      1
     
     ,
     
      R
     
     
      2
     
     ,
     
      R
     
     
      3
     
     ,
     
      R
     
     
      4
     
     分别表示对银行从事证券、保险、房地产业务和拥有非金融企业的限制程度,而
     
      R
     
     
      5
     
     作为
     
      R
     
     
      1
     
     ,
     
      R
     
     
      2
     
     ,
     
      R
     
     
      3
     
     和
     
      R
     
     
      4
     
     的平均值[即
     
      R
     
     
      5
     
     = (
     
      R
     
     
      1
     
     +
     
      R
     
     
      2
     
     +
     
      R
     
     
      3
     
     +
     
      R
     
     
      4
     
     )/4],可以表示一个国家对其银行业混业经营的总体限制程度。
     
      S
     
     作为金融体系结构的替代变量,我们使用银行资产与金融市场市值之比加以描述;该数值越大,表示该国的金融体系结构越偏向于“银行主导型”。
     该数值越大,表示限制程度越大,相应表明实行混业经营的程度越低。其中,我们用
     
      R
     
     
      1
     
     ,
     
      R
     
     
      2
     
     ,
     
      R
     
     
      3
     
     ,
     
      R
     
     
      4
     
     分别表示对银行从事证券、保险、房地产业务和拥有非金融企业的限制程度,而
     
      R
     
     
      5
     
     作为
     
      R
     
     
      1
     
     ,
     
      R
     
     
      2
     
     ,
     
      R
     
     
      3
     
     和
     
      R
     
     
      4
     
     的平均值[即
     
      R
     
     
      5
     
     = (
     
      R
     
     
      1
     
     +
     
      R
     
     
      2
     
     +
     
      R
     
     
      3
     
     +
     
      R
     
     
      4
     
     )/4],可以表示一个国家对其银行业混业经营的总体限制程度。
     
      S
     
     作为金融体系结构的替代变量,我们使用银行资产与金融市场市值之比加以描述;该数值越大,表示该国的金融体系结构越偏向于“银行主导型”。
    
     在解释变量方面,
     
      C
     
     表示不同国家的社会信用文化差异,该数值越大,表示人与人之间的信任程度越高;
     
      L
     
     表示不同国家的法律体系及其渊源,我们主要将其分为两个大的体系,即以英美为代表的普通法系(common law)和以德日为代表的民法法系(civil law),并分别用变量1和0加以描述;
     
      X
     
     
      1
     
     ,
     
      X
     
     
      2
     
     ,
     
      X
     
     
      3
     
     分别代表各个回归方程中其余一些需要纳入的控制变量
      ,这些控制变量主要包括作为宏观经济控制变量的人均GDP (同时也代表着不同的经济发展水平),作为银行产业结构特征的“银行集中度”指标
     ,这些控制变量主要包括作为宏观经济控制变量的人均GDP (同时也代表着不同的经济发展水平),作为银行产业结构特征的“银行集中度”指标
      ,以及作为政治影响因子的“政府纪律及管理能力”指标等。
     ,以及作为政治影响因子的“政府纪律及管理能力”指标等。
    
模型设定旨在说明以下问题:①不同国家社会信用文化和金融结构的差异是否会对金融业运行效率产生影响? ②不同国家金融业组织形式(混业经营程度)的选择是否会受到金融结构和社会信用文化的影响? ③不同国家金融结构的选择主要受到哪些因素的影响? ④新兴市场国家的社会信用文化、金融体系结构和金融业组织形式及其内在联系是否具有某些特殊性?
1.基于金融效率的实证分析结果
运用OLS方法,我们对影响银行效率的因素进行回归分析。当被解释变量为“银行净利差”时,其回归结果见表1—2—1。
表1—2—1 银行净利差及其决定因素回归结果
 
     说明:∗∗∗表示在1%置信水平上显著;∗∗表示在5%置信水平上显著;∗表示在10%置信水平上显著。
从表1—2—1可以看出,“人均GDP”、“银行集中度”、“政府纪律及管理能力”和“社会信用文化”这四个因素对银行净利差具有较为一致的系统性影响。当“业务范围限制”、“法律传统”作为控制变量纳入回归分析时,“社会信用文化”因素保持着极强的稳定性,始终在1%水平上显著;作为银行业产业结构特征的“银行集中度”,分别在10%、5%和10%水平上显著;而“人均GDP”指标与“政府纪律及管理能力”指标随着新控制变量的加入,其显著性有所降低,但符号保持一致。前面已经提到,“银行净利差”在通常情况下是银行效率的一个负向指标,因此,上述结果说明: ① “社会信用文化”对银行效率具有显著的正影响,即在一个信用文化趋于“更加信任”的社会,银行业经营的效率较高,相应的银行净利差越小; ②银行业的产业结构特征对银行效率也存在显著影响,即在一个银行业集中程度越高(越垄断)的国家,银行业的总体效率越趋于低下,相应的银行净利差越高;③经济发展水平(以人均GDP为代表)倾向于与银行净利差具有同向变化的趋势,即经济发展水平越高,银行净利差越大;④ “政府纪律及管理能力”倾向于与银行净利差具有反向变化的趋势,即“政府纪律及管理能力”越强,银行净利差越小。值得注意的是,“金融体系结构”这一指标并没有呈现出较为系统的显著性特征,表明对“金融体系结构”的选择不会对银行业经营效率产生统计意义上典型的影响,而这一结论与Levine (2000)的发现具有一致性,即“金融体系结构”的差异并不能有效地解释不同国家之间的金融效率差异。
当被解释变量为管理成本时,回归结果见表1—2—2。
表1—2—2 管理成本及其决定因素回归结果
 
     说明:∗∗∗表示在1%置信水平上显著;∗∗表示在5%置信水平上显著;∗表示在10%置信水平上显著。
从表1—2—2可以看出,与表1—2—1的结果基本一致,“人均GDP”、 “银行集中度”、“政府纪律及管理能力”和“社会信用文化”这四个因素同样对管理成本具有较为一致的系统性影响。其中,“社会信用文化”依然保持着极强的稳定性,始终在1%的水平上显著;同时,相比“银行净利差”,“人均GDP”、“银行集中度”、“政府纪律及管理能力”这三个指标对“管理成本”的解释力更强。上述结果说明:① “社会信用文化”对银行效率具有显著的正影响,即在一个信用文化趋于“更加信任”的社会,银行业经营的效率较高,相应的管理成本越小;②银行业的产业结构特征对银行效率也存在显著影响,即在一个银行业集中程度越高(越垄断)的国家,银行业的总体效率越趋于低下,相应的管理成本越高;③经济发展水平(以“人均GDP”为代表)与管理成本具有显著的同向变化特征,即经济发展水平越高,管理成本也越高;④ “政府纪律及管理能力”与管理成本具有显著的反向变动趋势,即“政府纪律及管理能力”越强,管理成本也越低。同样的,与表1—2—1的结果一致,“金融体系结构”这一指标并没有呈现出统计显著性,表明金融体系结构的选择不会对银行业经营效率产生统计意义上典型的影响。
除了银行净利差和管理成本这两个国际上通用的银行效率指标外,我们还附带考察了银行业腐败程度的决定因素。结果表明,在统计意义上对银行腐败程度具有显著影响的是“政府纪律及管理能力”以及“人均GDP”。其中,“人均GDP”与银行腐败程度呈同向变化(10% 置信水平),而“政府纪律及管理能力”则对银行腐败程度具有更为显著(5%置信水平)的遏制作用。而其他诸如“金融体系结构”、“社会信用文化”和“法律传统” 等因素均对银行腐败程度没有显著影响。统计结果见表1—2—3。
表1—2—3 银行腐败程度及其决定因素回归结果
 
     说明:(1)银行腐败指数取自The World Business Environment Survey(WBES)。
(2)∗∗∗表示在1%置信水平上显著;∗∗表示在5%置信水平上显著;∗表示在10%置信水平上显著。
2.基于金融业组织形式的实证分析结果
     在此,金融业组织形式主要是指一国的银行业是否允许混业经营以及允许进行混业经营的程度。在评价不同国家的金融业组织形式时,我们主要使用Asli Demirguc-Kunt and Ross Levine (2000)的评估数据。
      其中,“总的业务范围限制程度”是所有管制限制的一个综合指数,它等于证券、保险、不动产和非金融企业所有权的平均值。因此,“总的业务范围限制程度”的取值在1 (最少限制)和4 (最多限制)之间。为了全面考察决定不同国家金融业组织形式的决定因素,我们首先对各国总体的混业经营程度指标(即“总的业务范围限制程度”)进行回归分析,然后在此基础上,分别以“对证券业务的限制程度”、“对保险业务的限制程度”、“对房地产投资的限制程度”以及“对银行拥有非金融企业的限制程度”为被解释变量进行回归,以期获得对金融业组织形式内部情况更为细致的分析,具体结果见表1—2—4。
     其中,“总的业务范围限制程度”是所有管制限制的一个综合指数,它等于证券、保险、不动产和非金融企业所有权的平均值。因此,“总的业务范围限制程度”的取值在1 (最少限制)和4 (最多限制)之间。为了全面考察决定不同国家金融业组织形式的决定因素,我们首先对各国总体的混业经营程度指标(即“总的业务范围限制程度”)进行回归分析,然后在此基础上,分别以“对证券业务的限制程度”、“对保险业务的限制程度”、“对房地产投资的限制程度”以及“对银行拥有非金融企业的限制程度”为被解释变量进行回归,以期获得对金融业组织形式内部情况更为细致的分析,具体结果见表1—2—4。
    
表1—2—4 金融业组织形式及其决定因素回归结果
 
     说明:∗∗∗表示在1%置信水平上显著;∗∗表示在5%置信水平上显著;∗表示在10%置信水平上显著。
从表1—2—4可以看出,在我们考察的解释变量中,对一个国家总体混业经营程度起到显著影响的因素只有“法律传统”(在5%置信水平上显著)。具体而言,普通法系国家倾向于放开对银行经营范围的限制,更多地允许混业经营;相比之下,民法法系国家则倾向于更为严格的经营范围限制。通过对总体混业经营程度进行分解,我们注意到,“对证券业务的限制程度”、“对保险业务的限制程度”、“对房地产投资的限制程度”以及“对银行拥有非金融企业的限制程度”受到不同解释变量的影响也不尽相同: “对银行拥有非金融企业的限制程度”显著受到“社会信用文化”、“法律传统”和“政府纪律及管理能力”的影响,显著性水平分别为1%、5% 和10%;“对证券业务的限制程度”和“对保险业务的限制程度”分别显著地受到“法律传统”和“政府纪律及管理能力”的影响;而“对房地产投资的限制程度”的情况较为复杂,几个解释变量无一呈现统计显著性,并且解释程度也非常低,这可能意味着不同国家“对房地产投资的限制程度”受到更多复杂因素的影响。
3.基于金融体系结构的实证分析结果
我们现在对影响金融体系结构的因素进行OLS回归分析,具体结果见表1—2—5。
表1—2—5 金融体系结构及其决定因素回归结果
 
     说明:∗∗∗表示在1%置信水平上显著;∗∗表示在5%置信水平上显著;∗表示在10%置信水平上显著。
从表1—2—5可以看出,“法律传统”和“社会信用文化”这两个因素对各国金融体系的选择具有一致的显著性影响,并且在统计上呈现出较强的稳定性。具体而言,上述结果表明:①在一个社会“信用文化”趋于“更加信任”的国家,更倾向于选择“市场主导型”的金融体系结构;②相比之下,普通法系国家更倾向于选择“市场主导型”的金融体系结构,而民法法系国家则更倾向于选择“银行主导型”的金融体系结构,这一结论与Levine (2000)的发现具有一致性;③与Levine (2000)的结论不同,我们的结果表明,经济发展水平(“人均GDP”)对金融体系结构并不产生统计上显著的影响,而在莱文的结论中,当国家变得较富裕时,其金融系统主要以市场为导向。
4.新兴市场国家:情况有何不同
我们知道,新兴市场国家在很多方面表现出与发达国家并不完全一致的特征。因此,将新兴市场国家从我们的总样本中独立出来作为一个子样本单独进行考察,有助于我们对不同经济体可能存在的差异进行深入分析。遵循前面的思路,我们分别以代表银行业效率的银行净利差、一般管理成本和银行腐败指数为被解释变量进行OLS 回归分析,具体结果如表1—2—6、表1—2—7和表1—2—8所示。
表1—2—6 新兴市场国家的银行净利差及其决定因素回归结果
 
     说明:∗∗∗表示在1%置信水平上显著;∗∗表示在5%置信水平上显著;∗表示在10%置信水平上显著。
表1—2—7 新兴市场国家的管理成本及其决定因素回归结果
 
     说明:∗∗∗表示在1%置信水平上显著;∗∗表示在5%置信水平上显著;∗表示在10%置信水平上显著。
表1—2—8 新兴市场国家的银行腐败程度及其决定因素回归结果
 
     说明:∗∗∗表示在1%置信水平上显著;∗∗表示在5%置信水平上显著;∗表示在10%置信水平上显著。
从以上三个表的实证结果可以看出:①对于银行净利差而言,“社会信用文化”、“银行集中度”和“政府纪律及管理能力”这三个因素仍然呈现出统计显著性,这与总体样本的结果是一致的(见表1—2—1)。不仅如此,“金融体系结构”在表1—2—6中也呈现出统计显著性,这表明在新兴市场国家,其“金融体系结构”越是倾向于“银行主导型”,那么其银行净利差也就越大。②对于管理成本而言,其影响因素中呈现出统计显著性的主要是“金融体系结构”和“银行集中度”,这表明在新兴市场国家,银行产业集中程度的增加会导致管理成本上升;同时,其金融体系结构越是倾向于“银行主导型”,那么其管理成本也会越高。③对于银行腐败程度而言,唯一呈现出统计显著性的是“政府纪律及管理能力”,这表明在新兴市场国家,政府的效率和廉洁程度越高,那么其银行腐败程度相应也就越低。
对于新兴市场国家,其金融业组织形式的决定又有何不同? 为此,我们分别以新兴市场国家样本的“总的业务范围限制程度”、“对证券业务的限制程度”、“对保险业务的限制程度”、“对房地产投资的限制程度”以及“对银行拥有非金融企业的限制程度”为被解释变量进行回归,具体结果见表1—2—9。
表1—2—9 新兴市场国家的金融业组织形式及其决定因素回归结果
 
     说明:∗∗∗表示在1%置信水平上显著;∗∗表示在5%置信水平上显著;∗表示在10%置信水平上显著。
从表1—2—9可以看出,在我们考察的解释变量中,对新兴市场国家总体混业经营程度起到显著影响的因素包括“法律传统”和“人均GDP”(均在10%置信水平上显著)。这表明,在新兴市场国家,具有普通法系渊源的国家更倾向于采用混业经营的金融业组织形式,而且混业经营的程度与经济发展水平呈同向变化趋势。通过对总体混业经营程度进行分解,我们注意到,在新兴市场国家,“对银行拥有非金融企业的限制程度”显著地受到“法律传统”、“社会信用文化”、“人均GDP”和“金融体系结构”的影响,显著性水平分别为1%、5%、5%和10%; “对房地产投资的限制程度”显著地受到“人均GDP”和“法律传统”的影响,显著性水平分别为1%和5%;而“对证券业务的限制程度”和“对保险业务的限制程度”的情况较为复杂,几个解释变量无一呈现统计显著性,这可能意味着在新兴市场国家,它们受到更多复杂因素的影响。
最后,我们还对新兴市场国家金融体系结构的影响因素进行了回归分析,可惜的是,并没有找到统计上有意义的结果。这可能是由于很多新兴市场国家正处于转型过程中,其金融体系结构的选择很难通过几个简单的变量得到良好解释。
通过对全球范围内具有代表性的63个国家的跨国数据进行实证分析,我们系统地考察了社会信用文化、金融体系结构和金融业组织形式之间的相互联系和决定因素。对于我们新纳入的社会信用文化因素,实证结果表明,将其作为解释变量对金融业效率、金融体系结构和金融业组织形式进行分析,不仅是可行的,而且是重要的。这告诉我们,在考察金融系统的方方面面时,一些长期被忽略的非经济因素可能是非常重要并极具启发性的,这些非经济因素有助于我们全面理解金融系统的运行及发展规律。此外,在具体考察社会信用文化、金融体系结构和金融业组织形式之间的相互联系和决定因素过程中,部分实证结果与先前某些学者的研究结论是一致的,而部分则是不同的。概括而言,通过实证分析,我们得出了以下基本结论:
(1)社会信用文化对金融体系的效率和金融体系结构的选择均有重要影响。在一个信用文化趋于“更加信任”的社会,金融业经营的效率越高,成本越低;同时,在一个经济体中,如果人与人之间的普遍信任关系越强,那么这样的经济体更倾向于选择“市场主导型”的金融体系。
(2)金融体系结构对金融效率的影响要视经济体的性质而定。在一个包括全球样本数据的实证分析中,实证结果并不支持金融体系结构会对金融效率产生影响的论断,但是,当我们把样本局限在新兴市场国家时,金融体系结构却对金融效率产生了显著影响:在新兴市场国家,其金融体系结构越是倾向于“银行主导型”,那么其经营成本相应越高,效率越低。
(3)法律传统对金融业组织形式和金融体系结构的选择均有重要影响。普通法系国家倾向于放开对银行经营范围的限制,更多地允许混业经营;相比之下,民法法系国家则倾向于更为严格的经营范围限制。就金融体系结构而言,普通法系国家更倾向于选择“市场主导型”的金融体系结构,而民法法系国家则更倾向于选择“银行主导型”的金融体系结构。
(4)在大部分情况下,政府纪律及管理能力对金融效率具有正向效应。在一个经济体中,其政府越是廉洁和高效,那么其金融业经营的成本越低,效率越高。
(5)金融体系结构的选择受到社会信用文化和法律传统的显著影响,但我们并没有发现经济发展水平(人均GDP)与金融体系结构存在统计上
显著的相关关系,这表明我们的实证结果并不支持某些学者(如Levine,
2000)所提出的“当国家变得较富裕时,其金融系统主要以市场为导向”。同时,金融体系结构的选择可能受到许多复杂因素的影响,尤其是对于处在转型过程中的新兴市场国家而言,其金融体系结构的选择很难通过几个简单的变量得到良好解释。