



○ 于运全
2012年11月29日,中共中央总书记习近平在国家博物馆参观“复兴之路”展览时,第一次阐释了“中国梦”概念。他说:“实现中华民族伟大复兴,就是中华民族近代以来最伟大的梦想……我坚信,到中国共产党成立100年时全面建成小康社会的目标一定能实现,到新中国成立100年时建成富强民主文明和谐的社会主义现代化国家的目标一定能实现,中华民族伟大复兴的梦想一定能实现。”
2013年3月17日,中国国家主席习近平在十二届全国人大一次会议闭幕会上,向全国人大代表发表自己的就任宣言。在将近25分钟的讲话中,习近平主席9次提及“中国梦”,论述一度被掌声打断。他指出:“实现全面建成小康社会、建成富强民主文明和谐的社会主义现代化国家的奋斗目标,实现中华民族伟大复兴的中国梦,就是要实现国家富强、民族振兴、人民幸福。中国梦既深深体现了今天中国人的理想,也深深反映了我们先人们不懈追求进步的光荣传统……实现中国梦,必须走中国道路,必须弘扬中国精神,必须凝聚中国力量。”
“中国梦”反映了全体中国人民和海外同胞及全世界华人的共同心声、共同愿景、共同意志,是凝聚全党和全国人民的最大共识。同时,“中国梦”理念在世界范围内引发了关注和热议:国外公众是否了解“中国梦”,通过何种渠道了解“中国梦”?他们对中国哪些人群的梦想故事更感兴趣,是否认为“中国梦”能够顺利实现?他们如何看待“中国梦”的世界影响,是否认为“中国梦”与本国梦想相通?只有对以上问题进行深入调查、研究,才有可能掌握各国公众、媒体对“中国梦”基本认知的第一手信息,才有可能制定更加科学、系统的“中国梦”对外传播战略,才有可能有针对性和目的性地开展在不同地区、不同国家和不同人群间的对外传播工作。
为此,2013年11月至2014年1月,中国外文局对外传播研究中心委托北京零点指标信息咨询有限责任公司在中国、美国、肯尼亚、印度和巴西同步开展了“‘中国梦’国际传播效果评估调查”,并基于此次调查数据及结果撰写了本报告。
该报告阐述了此次定量调查所采用的执行国家选取、样本量分配、抽样方式和访问方式等研究方法;分析了各国的调查数据结果,并对国别数据进行了对比和综述;在数据分析基础上提出了对策建议。
1.执行国家的选取与样本量的分配
项目组在选取调查执行国家时,综合考虑了以下因素:
(1)地理区位;
(2)国土面积与人口;
(3)经济发达程度;
(4)地区影响力与世界影响力;
(5)与中国双边关系的现状。
本着统筹兼顾、平衡与重点统一的原则,项目组最终确定了五个执行国家:中国、美国、肯尼亚、印度与巴西。
2.抽样及访问方式的选取
本项研究此阶段主要针对以上五国的普通公众,受访者应同时满足以下要求:
(1)18周岁及以上;
(2)在当地居住一年以上。
本项目采用随机抽样或配额抽样的方式,保证受访者的年龄和性别配额基本符合各国实际人口统计学分布。
为了确保访问准确有效,即保证受访对象经过科学准确的选择、访问过程可控以及整个访问过程科学规范,本项研究通过在线调查的方式完成。
3.数据处理与数据分析
在回收全部有效问卷后,数据通过EpiData软件录入计算机,经过逻辑查错形成最终数据库。研究人员将使用SPSS 13.0专用软件包进行本项目的统计分析,显著性检验P值取<0.05,误差估计在95%的置信度下进行。在统计分析中预期使用有效样本量分析、交叉分析、均值分析等基础分析方法。
通过对调查结果的科学分析,主要发现有以下几点:
在中国之外的四个受访国家中,肯尼亚受访者对“中国梦”的了解程度最高,接近半数(48.3%),其次分别为印度(28.1%)、巴西(21.%)和美国(12.3%)。各国对“中国梦”实现前景普遍看好,巴西(78.1%)、肯尼亚(76.7%)和印度(72.6%)三国均有超过7成的受访者认为“中国梦”将会实现。美国有47.1%的人认为“中国梦”可以实现,30.6%认为不会实现,22.3%“说不清”。
图1 各国公众对“中国梦”的知晓率及其实现前景、世界影响的判断差异明显(N=3330)
数据来源:中国外文局对外传播研究中心、零点指标数据,“中国梦”国际传播效果评估调查。
在“中国梦是机遇还是威胁”问题上,超过7成的肯尼亚受访者认为“中国梦”对世界而言是机遇;巴西和印度分别有58.1%和57.5%的受访者认为是机遇;美国的数据为43%。
综上,肯尼亚对“中国梦”的态度最为积极:了解程度最高、信心最大、认同感最强,体现出肯尼亚对中国的关注和看重;与我国同为“金砖国家”和新兴发展中大国的巴西、印度,对“中国梦”的了解程度较低,但信心较大,认同感也较强;美国对“中国梦”的了解程度最低、信心最小、认同感最弱,体现出美国公众对中国未来发展的观望和疑虑态度。
项目组试图通过半开放式多选题,获知受访者对“中国梦”理念基础的认识。在调查列举出的12个理念性词条中,“以人为本”“改革创新”和“自强进取”是整体入选率相对最高的三项。其中,“改革创新”在美国、肯尼亚和巴西三国受访者中的入选率排名首位;“以人为本”则在中、印两国居首。
从三项词条体现的价值观可以推断各国公众对“中国梦”的基本认知。“改革创新”体现实现“中国梦”的必由之路是推行改革开放;“以人为本”体现“中国梦”的最终落脚点和主要支撑力量是广大中国人民;“自强进取”则体现出各国公众认可“中国梦”理念引领的方向是向上、向前的。
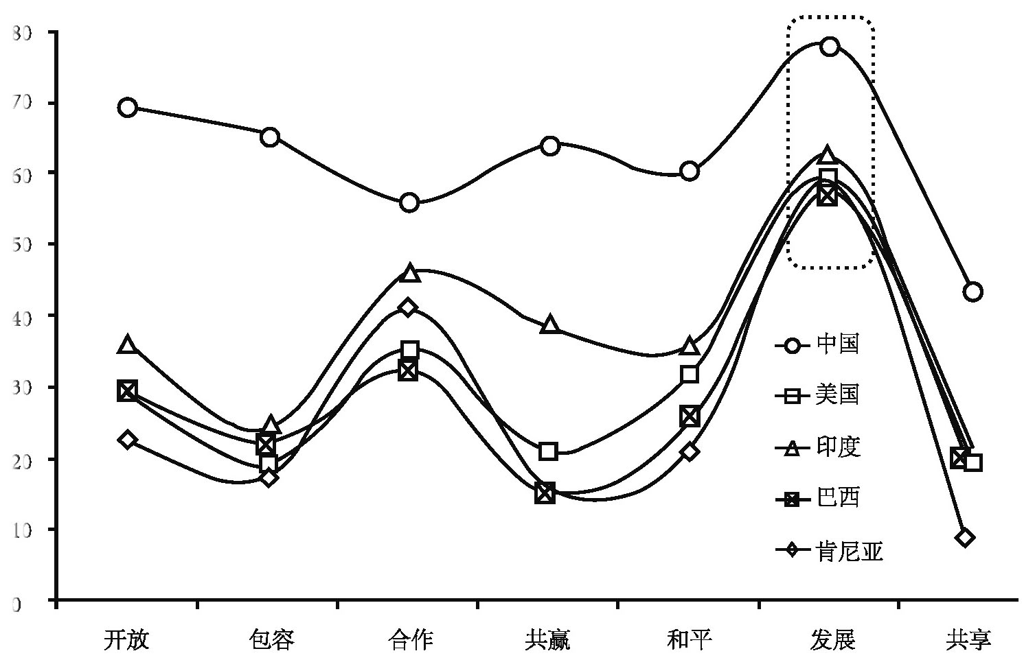
图2 “发展”是各国受访者公认的“中国梦”的核心特点(%)(N=3330)
注:本题为多选题,所有选项应答比例之和≥100%。
数据来源:中国外文局对外传播研究中心、零点指标数据,“中国梦”国际传播效果评估调查。
项目组通过“关键词”形式进一步探测了各国公众对“中国梦”核心特点的认知。数据显示,“发展”是各国受访者公认的“中国梦”的核心特点。
中国之外的四国受访者均对“中国梦促进全球经济增长”表示认同,接近半数的受访者肯定这是“中国梦”对世界的最大贡献,各国具体比率依次为肯尼亚(50.8%)、巴西(49.5%)、印度(48.6%)和美国(33.8%)。相比之下,对“维护世界和平稳定”“丰富人类文明多样性”等贡献的认可度,仅在30%上下。可见,当前中国的经济影响依然是外界最为看重的,中国经济走势和重大举措将深刻影响外界对中国发展道路和“中国梦”的信心。
值得关注的是,56%的印度受访者十分看重“中国模式”,认为这将是“中国梦”为世界作出的最重大贡献。与此同时,42.4%的印度受访者认为“中国梦”将对印度产生影响,而“中国道路”可被印度借鉴。
图3 对于“中国梦”为世界作出的贡献,“促进全球经济增长”相对最受认可(N=3330)
注:本题为多选题,所有选项应答比例之和≥100%。
数据来源:中国外文局对外传播研究中心、零点指标数据,“中国梦”国际传播效果评估调查。
各国受访者不约而同地表现出对平凡人梦想故事的浓厚兴趣,而中国的“公众人物”并没有获得预想中的较高关注度。外界更渴望了解我国普通人的日常工作和日常生活,渴望从平凡人的梦想故事中汲取“正能量”。
不同国家的具体关注群体也各有侧重。在印度,我国青年人梦想故事的受关注度最高(38.9%),特别是印度青年群体,41.1%的受访者对我国青年人梦想故事表示关注;在肯尼亚,中国企业家的创业梦想故事受关注度最高(49.8%),这反映了肯尼亚公众了解中国经济发展经验的愿望;在美国,将近1/4的受访者(23.8%)表示对任何中国群体的梦想故事都不感兴趣,这表明“中国梦”在美传播不但要讲好梦想故事,更要增强“中国梦”话题的表现形式和吸引力。
表1 各国受访者普遍对中国普通公众与青年人的梦想故事更感兴趣(N=3330)
调查显示,各国受访者普遍认为“中国梦”与世界其他国家梦想相通,总体上超过90%的受访者对此表示肯定。不认同者比率在印度和肯尼亚仅有2.6%和0.4%,美国和巴西略高但也均未超过10%。
对于梦想间的具体相通之处,各国受访者观点不一。整体上看,最受肯定的三点是“追求国家富强”“使人民获得更多实惠”和“追求更好的经济发展”。
图4 各国受访者中不认可“中国梦”与本国人民梦想有相通之处的比例均在一成以下(N=3330)
注:图中所示中国比例为“中国受访者认为‘中国梦’与其他国家人民梦想没有相通性的比例”。
数据来源:中国外文局对外传播研究中心、零点指标数据,“中国梦”国际传播效果评估调查。
表2 对于本国人民的梦想与“中国梦”间的相通之处,各国公众应答不一(N=3330)
各国受访者还表达了来华实现自己梦想的愿望:肯尼亚高达68%、印度62.3%、巴西56.7%,美国则不足两成,仅18%。“共享中国梦”在各国受访者中已基本达成共识。
特别值得关注的是,在各国全部受访者中,青年人和高学历群体来华圆梦的意愿最为强烈,这与该群体对“中国梦”最了解、最具备来华实现梦想的实力息息相关。该群体也是“中国梦”国际传播的主要目标受众。
对于实现“中国梦”的具体依靠和推动力量,各国受访者的认识存在一定差异,但大多数受访者认为,中国的国内因素将决定“中国梦”的实现前景。
43.8%的美国受访者认为“中国普通公众”是影响“中国梦”能否实现的主要因素,40.3%的受访者认为政府力量也十分重要;巴西和印度受访者对“中国普通公众”“中国政府”和“中国经济力量”基本同等看重;肯尼亚受访者则更看重经济实力(37.4%)和政府力量(33.5%)。相比之下,中国与美国等大国关系的稳定、中国与周边国家关系的稳定这些外部因素,入选率都比较低。
表3 对于实现“中国梦”的主要依靠力量,各国受访者的认识存在显著性差异(N=3330)
受访者认为,实现“中国梦”的挑战主要来自国内问题。其中,最受关注的是官员的“腐败问题”以及人口基数大、老龄化等“人口问题”。除这两个共性问题外,美、印两国受访者还认为,中国能否实现政治体制改革是圆梦的关键;巴西和肯尼亚受访者更关注“中国发展中的不确定因素”。
调查也同时显示,海外受访者对中国新一届政府在整治贪污腐败、推动经济转型和深化改革开放等方面的努力一致给予好评,这些治国方略普遍被认为是实现“中国梦”的关键。
在了解“中国梦”的受访者中,本国传统媒体(51%)和网络媒体(40.1%)是他们主要的信息获取渠道,本国的移动终端也占有14.6%的比重。同时,本国媒体也是受访者最先获知“中国梦”的渠道:美国(49.4%)、巴西(50%)、肯尼亚(64.5%)的受访者都是最先从本国媒体获得“中国梦”的相关信息。
值得注意的是,中国媒体在“中国梦”国际传播中的影响力,超过在其他话题上的国际影响力:约有25%的受访者认为中国的传统媒体、网络媒体和移动媒体是他们了解“中国梦”的主要信息来源,这个比例超过在受访国的其他国家的媒体(10.8%)。
表4 各国本土媒体、网络媒体控制“中国梦”的传播话语权(N=3330)
此次调查表明,“中国梦”的国际传播渠道仍是以各国的本土媒体和网络媒体为主,这与历次调查的结果相吻合。调查还显示,中国媒体在“中国梦”的国际传播中发挥了较为明显的作用,这一方面表明我国媒体国际化有所收效,另一方面也提示我们“中国梦”国际传播的议程设置还要以我国媒体为主。
本次调查结果说明,虽然“中国梦”提出的时间不长,但作为新一届中央领导集体重大话语体系创新的一次实践,已经在海外民众中产生了一定的吸引力,外界对其已有一定的认识,并看好其实现前景,对外传播的效果初步显现。但也要看到,海外普通民众对“中国梦”的了解程度还不够深入全面,尚存在一些误读误解,需要我们更有针对性地做好“中国梦”的对外传播和阐释工作。
对“中国梦”的宣传和阐释,建议与当代中国价值观念紧密结合起来,与深化改革开放、坚持走中国特色发展道路紧紧联系起来。讲清楚“中国梦”是追求和平的梦、追求幸福的梦、奉献世界的梦。讲明白实现“中国梦”,是物质文明和精神文明均衡发展、相互促进的结果,是物质文明和精神文明比翼双飞的发展过程。讲透彻“中国梦”的实现将给世界各国提供更大的合作空间。
争取主动设置议题,引导国际社会民众客观、全面地看待中国的发展进程、发展速度和对外影响。建议多报道中国在政治经济发展和社会治理等领域取得的成就,用“中国机遇论”“中国贡献论”回击“中国崩溃论”“中国威胁论”。多讲“机遇共存、利益共享、责任共担”,重点挖掘其他国家从“中国制造”“中国维和”“中国援助”“中国办法”中受益的代表性案例,加以本土化报道和传播,帮助国际公众形成对“中国梦”世界贡献的正面认识。
善于用普通中国人的故事阐释好“中国梦”归根到底是人民的梦的重要理念。可多形式展现不同地区、领域、职业和社会层级的普通中国人追梦、圆梦的故事,多角度展示这些故事所体现的个体民众对梦想的多彩认识和对国家未来发展的信心。在挖掘和讲述故事时,尽量形象化、具体化、生活化,做到耐读、耐看、耐听、可信。
建议采取分众化国际传播策略,以增强中国梦国际传播的实效性。对美国,可重点解释“中国梦”与“美国梦”的和而不同、彼此借鉴;对东亚、东南亚国家,则应重点解释“中国梦”是“强国梦”并不是“称霸梦”;对非洲国家,可重点解释“中国梦”与“非洲梦”的共存共荣。加大对青年群体和普通民众的传播力度,适应“微时代”即时性、移动性、互动性和全民性等特点,积极创新传播方法和手段,不断扩大工作覆盖面,将“中国梦”的理念和故事传递好。
于运全:中国外文局对外传播研究中心副主任、研究员,《对外传播》主编,主要研究方向为国际传播和文化软实力。