



    Throughout this paper,
     denote the real numbers, the complex numbers, the integers and the natural numbers respectively.We denote by
    
     X
    
    a real or complex Banach space,
    
     H
    
    a complex separable infinite dimensinal Hilbert space. Let
    
     B
    
    (
    
     X
    
    )(or
    
     B
    
    (
    
     H
    
    )) denote the algebra of all bounded linear operators on
    
     X
    
    (or
    
     H
    
    ). Let
    denote the real numbers, the complex numbers, the integers and the natural numbers respectively.We denote by
    
     X
    
    a real or complex Banach space,
    
     H
    
    a complex separable infinite dimensinal Hilbert space. Let
    
     B
    
    (
    
     X
    
    )(or
    
     B
    
    (
    
     H
    
    )) denote the algebra of all bounded linear operators on
    
     X
    
    (or
    
     H
    
    ). Let
     always denote a times scales which is defined asan arbitrary nonempty closed subset of
    always denote a times scales which is defined asan arbitrary nonempty closed subset of
     .
    .
   
    The theory of time scales was introduced by Hilger in his 1988 PhD dissertation
    
     
      [51]
     
    
    . The calculus of time scales unifies and extends the fields of discrete and continuous calculus.The delta derivative defined by Hilger
    
     [
    
    
     
      51
     
    
    
     ,
    
    
     
      52
     
    
    
     ]
    
    is equal to
    
     f
    
    ' (the usual derivative) if
     , and it is equal to △
    
     f
    
    (the usual forward difference) if
    , and it is equal to △
    
     f
    
    (the usual forward difference) if
     . So the study of dynamical equations on time scales allows a simultaneous treatment of differential and difference equations. And this field has attracted many researchers' attention
    
     [
    
    
     
      23
     
    
    
     ,
    
    
     
      26
     
    
    
     ,
    
    
     
      18
     
    
    
     ,
    
    
     
      79
     
    
    
     ,
    
    
     
      20
     
    
    
     ]
    
    . In 2002, Atici and Guseinov
    
     
      [9]
     
    
    defined the nabla derivative by replacing the forward jump operator
    
     σ
    
    by backward jump operator
    
     ρ
    
    and researched the ▽dynamical equations on time scales.
    . So the study of dynamical equations on time scales allows a simultaneous treatment of differential and difference equations. And this field has attracted many researchers' attention
    
     [
    
    
     
      23
     
    
    
     ,
    
    
     
      26
     
    
    
     ,
    
    
     
      18
     
    
    
     ,
    
    
     
      79
     
    
    
     ,
    
    
     
      20
     
    
    
     ]
    
    . In 2002, Atici and Guseinov
    
     
      [9]
     
    
    defined the nabla derivative by replacing the forward jump operator
    
     σ
    
    by backward jump operator
    
     ρ
    
    and researched the ▽dynamical equations on time scales.
   
It is well known that linear systems of differential or difference equations are applied to many fields, such as mechanic systems, electric circuit and biological systems [ 23 , 79 , 10 ] . So it is meaningful to research the linear dynamical systems on time scales both in theory and applications.
For linear dynamical equations on time scales, we mainly consider the explicit formula of solutions in matrix algebra and Banach algebra, and explor the existence and uniqueness of solutions in Banach space.
Let us consider a linear system
 
   
    where
    
     A
    
    (·),
    
     X
    
    (·)are functions from a time scale
     to
    
     M
    
    
     
      m
     
    
    .
    to
    
     M
    
    
     
      m
     
    
    .
   
    In the case that
     or
    or
     and
    
     A
    
    (·)=
    
     A
    
    , the study of the explicit constructions of solutions to equation (0.1) has attracted many researchers' attention
    
     [
    
    
     
      88
     
    
    
     ,
    
    
     
      65
     
    
    
     ,
    
    
     
      78
     
    
    
     ,
    
    
     
      49
     
    
    
     ,
    
    
     
      5
     
    
    
     ,
    
    
     
      83
     
    
    
     ,
    
    
     
      92
     
    
    
     ]
    
    . With the development of dynamical equations on time scales, some results have been obtained in calculating the solutions of equation (0.1) on general time scales.
    and
    
     A
    
    (·)=
    
     A
    
    , the study of the explicit constructions of solutions to equation (0.1) has attracted many researchers' attention
    
     [
    
    
     
      88
     
    
    
     ,
    
    
     
      65
     
    
    
     ,
    
    
     
      78
     
    
    
     ,
    
    
     
      49
     
    
    
     ,
    
    
     
      5
     
    
    
     ,
    
    
     
      83
     
    
    
     ,
    
    
     
      92
     
    
    
     ]
    
    . With the development of dynamical equations on time scales, some results have been obtained in calculating the solutions of equation (0.1) on general time scales.
   
In 1990, Hilger [52] defined a generalized exponential function on time scale and verified that it is the solution to the scalar form of equation (0.1) in the field of real numbers.
For matrix equation (0.1) in M m , Bohner and Peterson [23] defined the solution to equation (0.1) as the generalized matrix exponential function directily. They solved the exponential of a constant matrix on time scales by Putzer algorithm [88] . Then Harris algorithm and Leonard algorithm which were introduced firstly to calculate the matrix exponential e At were extended to calculate the exponential of a constant matrix on time scales [ 15 , 95 , 96 ] .
    In 2007, Verde-Star
    
     
      [92]
     
    
    introduced an elementary method to solve linear matrix differential and difference equations and obtained explicit formulas for the classic exponential of a matrix
    
     e
    
    
     
      At
     
    
    and
     .
    .
   
In chapter two, we extend the method in paper [92] to solve system (0.1).Let us introduce the calculating algorithm and the explicit constructions of solutions to equation (0.1).
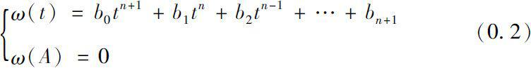
Let ω be any monic polynomial that is divisible by the minimal polynomial of A, i.e.,
 
   where b 0 =1.
The solution f of initial values problem
 
   is called the dynamic solution associated with ω , where D denotes the Δderivative operator.
    Define
     be the Horner polynomials of
    
     ω
    
    . Then the solution of equation (0.1) can be represented by the polynomial of
    
     A
    
    with coefficients determined by the dynamic solution associated with
    
     ω
    
    .
    be the Horner polynomials of
    
     ω
    
    . Then the solution of equation (0.1) can be represented by the polynomial of
    
     A
    
    with coefficients determined by the dynamic solution associated with
    
     ω
    
    .
   
    
     Theorem 0.1
    
    Let
    
     A
    
    be any square matrix,
    
     ω
    
    be a monic polynomial as (0.2) and
     be the Horner polynomials of
    
     ω
    
    . If
    
     f
    
    (
    
     t
    
    ) be the dynamic solution associated with
    
     ω.
    
    Then we have the solution of equation (0.1), i.e., the generalized matrix exponential function as follows
    be the Horner polynomials of
    
     ω
    
    . If
    
     f
    
    (
    
     t
    
    ) be the dynamic solution associated with
    
     ω.
    
    Then we have the solution of equation (0.1), i.e., the generalized matrix exponential function as follows
   
 
   
    Note that the dependence on
    
     t
    
    of
     is completely determined by the dynamic solution
    
     f
    
    (
    
     t
    
    ), which is in turn determined by the polynomial
    
     ω
    
    .
    is completely determined by the dynamic solution
    
     f
    
    (
    
     t
    
    ), which is in turn determined by the polynomial
    
     ω
    
    .
   
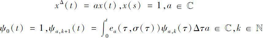
Next, let us define the basic generalized exponential polynomials on the complex plane
 
   
    where
     is solution of dynamical equation
    is solution of dynamical equation
   
 
   
    We define a commutative multiplication on
     , called the convolution product, as follows.
    , called the convolution product, as follows.
   
 
   where
 
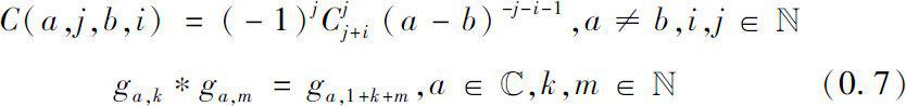
   We obtain a direct construction of the dynamic solution associated with ω .
Theorem 0.2 Let ω ( t ) be as in (0.2), and
 
   
    Then
     is the dynamic solution associated with
    
     ω
    
    .
    is the dynamic solution associated with
    
     ω
    
    .
   
    Note that we can use the recurrence relation (0.8) to compute the summands in (0.4) and (0.5). The computation of
     using (0.8) is a straightforward repeated application of the convolution formula (0.6) and (0.7).
    using (0.8) is a straightforward repeated application of the convolution formula (0.6) and (0.7).
   
For ▽matrix dynamical equation, we can obtain the similar results as equation (0.1).
    It is more difficult to obtain the constructions of solutions of time varying linear dynamic system (0.1). In chapter three we consider the explicit formula of
     with time varying function
    
     A
    
    (
    
     t
    
    ). We extend the definition of generalized exponential function in the set of real numbers to the unital Banach algebra under some conditions.
    with time varying function
    
     A
    
    (
    
     t
    
    ). We extend the definition of generalized exponential function in the set of real numbers to the unital Banach algebra under some conditions.
   
    Let
     denote a complex Banach algebra with unity
    
     I
    
    
     
      [39]
     
    
    and
    
     A
    
    be an element in
    denote a complex Banach algebra with unity
    
     I
    
    
     
      [39]
     
    
    and
    
     A
    
    be an element in
     . We define the spectrum of
    
     A
    
    to be the set
    . We define the spectrum of
    
     A
    
    to be the set
     
     is not invertible in
    is not invertible in
     }.
    }.
   
    Let
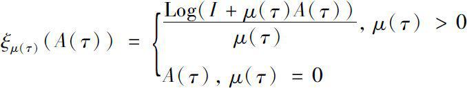
     be rd-continuous. We define the cylinder transformation of operator value function A(t) under some spectral condition.
    be rd-continuous. We define the cylinder transformation of operator value function A(t) under some spectral condition.
   
Let G be the single-valued and analytic branch of Logz. If the spectrum of A (·)satisfies the following condition
 
   Then the following cylinder transformation of A (·)is reasonable.
 
   Therefore, we can define the delta exponential function on time scales in Banach algebra as follows.
    
     Definition 0.1
    
    Let
    
     A
    
    =
    
     A
    
    (
    
     t
    
    ) be a rd-continuous function from a time scale
     to a unital Banach algebra
    to a unital Banach algebra
     (or a subalgebra of
    (or a subalgebra of
     ) and satisfy the spectral conditions (
    
     S
    
    ). Then we can define a delta exponential function of
    
     A
    
    (·)for
    ) and satisfy the spectral conditions (
    
     S
    
    ). Then we can define a delta exponential function of
    
     A
    
    (·)for
     in Banach algebra as follows
    in Banach algebra as follows
   
 
   We can verify that the cylinder transformation of A (·), i.e., (0.9), is well defined by Riesz Functional Calculus and Spectral Mapping Theorem.
    For
     being a commutative unital Banach algebra, we obtain that, the delta exponential function defined above is just the explicit formula of the solution to system (0.1).
    being a commutative unital Banach algebra, we obtain that, the delta exponential function defined above is just the explicit formula of the solution to system (0.1).
   
    
     Theorem 0.3
    
    Let
     be a commutative (or a commutative subalgebra of) Banach algebra with unity
    
     I
    
    . If
    
     A
    
    (·)is rd-continuous and satisfies the spectral conditions (
    
     S
    
    ), then
    be a commutative (or a commutative subalgebra of) Banach algebra with unity
    
     I
    
    . If
    
     A
    
    (·)is rd-continuous and satisfies the spectral conditions (
    
     S
    
    ), then
     is the uniqueness solution of equation (0.1).
    is the uniqueness solution of equation (0.1).
   
Theorem 0.4 extends the result in scalar case to commutative Banach algebra case.
We also consider the nabla exponential function in unital Banach algebra and obtain the similar results as definition Definition 0.3 and Theorem 0.4.
In chapter four, we consider the existence and uniqueness of global solutions to linear dynamical equations in Banach space on time scales from a new point of view.
 
   
    where,
     
   
    we first define a class of operators
    
     U
    
    as
    
     U
    
    :
     
     .
    .
   
    Then
    
     U
    
    is the largest class of operators which ensuring that equation (0.10) has exactly one global solution for any time scale
     under some conditions.
    under some conditions.
   
Theorem 0.4 U is the largest one of those classes in B ( H ) which satisfy the following condition ( G ).
    (
    
     G
    
    ): “for any time scale
     , if operator-valued function
    
     A
    
    (·):
    , if operator-valued function
    
     A
    
    (·):
     →
    
     U
    
    is rd-continuous in strong operator topology, then equation (0.10) has exactly one global solution on
    →
    
     U
    
    is rd-continuous in strong operator topology, then equation (0.10) has exactly one global solution on
     .”
    .”
   
    Then we also describe the size of the class
    
     U
    
    on Hilbert space by characterizing its closure and interior. For
     , denote by
    
     N
    
    (
    
     A
    
    ) and
    
     R
    
    (
    
     A
    
    ) the kernel of
    
     A
    
    and the range of
    
     A
    
    , respectively.
    
     A
    
    is called a semi-Fredholm operator, if
    
     R
    
    (
    
     A
    
    ) is closed and either nul
    
     A
    
    or nul
    
     A
    
    * is finite, where nul
    
     A
    
    : = dim
    
     N
    
    (
    
     A
    
    ) andnul
    
     A
    
    *: = dim
    
     N
    
    (
    
     A
    
    *); in this case, ind
    
     A
    
    : = nul
    
     A
    
    – nul
    
     A
    
    * is called the index of
    
     A
    
    . In particular, if
    , denote by
    
     N
    
    (
    
     A
    
    ) and
    
     R
    
    (
    
     A
    
    ) the kernel of
    
     A
    
    and the range of
    
     A
    
    , respectively.
    
     A
    
    is called a semi-Fredholm operator, if
    
     R
    
    (
    
     A
    
    ) is closed and either nul
    
     A
    
    or nul
    
     A
    
    * is finite, where nul
    
     A
    
    : = dim
    
     N
    
    (
    
     A
    
    ) andnul
    
     A
    
    *: = dim
    
     N
    
    (
    
     A
    
    *); in this case, ind
    
     A
    
    : = nul
    
     A
    
    – nul
    
     A
    
    * is called the index of
    
     A
    
    . In particular, if
     , then
    
     A
    
    is called a Fredholm operator. The Wolf spectrum
    , then
    
     A
    
    is called a Fredholm operator. The Wolf spectrum
     of
    
     A
    
    is defined by
    of
    
     A
    
    is defined by
     is not semi-Fredholm}.
    is not semi-Fredholm}.
   
     is called the semi-Fredholm domain of
    
     A
    
    . For
    is called the semi-Fredholm domain of
    
     A
    
    . For
     , we denote
    , we denote
     :ind (
    
     A
    
    -λ)=
    
     n
    
    }. Also, we denote
    :ind (
    
     A
    
    -λ)=
    
     n
    
    }. Also, we denote
     .
    .
   
    We denote by
     the closure of
    
     U
    
    , and
    the closure of
    
     U
    
    , and
     the interior of
    
     U
    
    .
    the interior of
    
     U
    
    .
   
    
     Theorem 0.5
    
    Let
     . Then
    . Then
   
    (i)
     if and only if for each
    if and only if for each
     either
    either
     
     ;
    ;
   
    (ii)
     if and only if
    if and only if
     .
    .
   
    It follows from Theorem 0.5 that the class
    
     U
    
    has interior points. Especially in matrix algebra
    
     M
    
    
     
      m
     
    
    , one can verify that
     . Hence we can deduce that
    
     U
    
    is a very large class of operators.
    . Hence we can deduce that
    
     U
    
    is a very large class of operators.
   
Symmetrically, we discuss the existence and uniqueness of global solutions to nabla linear dynamical equations and obtain the similar results as theorem Theorem 0.4 and Theorem 0.5.
    In 2006, Bohner and Guseinov
    
     
      [19]
     
    
    unified and extended the concepts of classic and discrete analytic functions to a concept of analytic functions on an arbitrary time scale complex plane
     which will be called the Δ analytic functions, where
    which will be called the Δ analytic functions, where
     and
    and
     are arbitrary time scales.
    are arbitrary time scales.
   
In 2007, Sinan [63] extended the results of paper [19] to the case of the ▽analytic functions.
    In chapter five, We consider the relationship between the Δ(or▽) analytic functions and the continuous analytic functions and derive the sufficient and necessary conditions for local Δ(or▽) analytic continuation in some cases. We also research the Δ(or▽) analyticity for monomial
     and obtain some results.
    and obtain some results.
   
    Let a function
     analytic on
    analytic on
     . For
    . For
     , if there exists a classic analytic function
    
     g
    
    (
    
     z
    
    ) on a neighborhood
    , if there exists a classic analytic function
    
     g
    
    (
    
     z
    
    ) on a neighborhood
     in the complex plan such that
    in the complex plan such that
     and
    and
     for any
    for any
     . Then the function
    
     g
    
    (
    
     z
    
    ) is said to be the local analytic continuation of the function
    
     f
    
    (
    
     z
    
    ) at point
    
     z
    
    
     0
    
    . If there exists locally analytic continuation of
    
     f
    
    (
    
     z
    
    ) at any point
    . Then the function
    
     g
    
    (
    
     z
    
    ) is said to be the local analytic continuation of the function
    
     f
    
    (
    
     z
    
    ) at point
    
     z
    
    
     0
    
    . If there exists locally analytic continuation of
    
     f
    
    (
    
     z
    
    ) at any point
     , then the function
    
     f
    
    (
    
     z
    
    ) is said to be locally analytic continuable on
    , then the function
    
     f
    
    (
    
     z
    
    ) is said to be locally analytic continuable on
     .
    .
   
we derive the sufficient and necessary conditions for local Δ analytic continuation in some cases.
    
     Theorem 0.6
    
    Let
     be a closed interval in
    be a closed interval in
     is permitted to be unbounded interval such as
    is permitted to be unbounded interval such as
     
     be at most countable and without cluster point, here
    be at most countable and without cluster point, here
     Denote
    Denote
     , where
    
     k
    
    =1,2,3,…,
    
     N
    
    -1 for
    
     N
    
    <∞ and
    
     k
    
    =1,2,3,… for
    
     N
    
    =…∞. Supppose
    , where
    
     k
    
    =1,2,3,…,
    
     N
    
    -1 for
    
     N
    
    <∞ and
    
     k
    
    =1,2,3,… for
    
     N
    
    =…∞. Supppose
     →
    →
     be a Δ analytic function on
    be a Δ analytic function on
     and
    and
     . Then there exists a unique local analytic continuation of
    
     f
    
    (
    
     z
    
    ) on
    . Then there exists a unique local analytic continuation of
    
     f
    
    (
    
     z
    
    ) on
     if and only if the functions
    if and only if the functions
     and
    and
     are both real analytic function on (
    
     a
    
    ,
    
     b
    
    ), where
    
     k
    
    =1,2,3,…,
    
     N
    
    -1 for
    
     N
    
    <∞ and
    
     k
    
    =1,2,3,… for
    
     N
    
    =…∞.
    are both real analytic function on (
    
     a
    
    ,
    
     b
    
    ), where
    
     k
    
    =1,2,3,…,
    
     N
    
    -1 for
    
     N
    
    <∞ and
    
     k
    
    =1,2,3,… for
    
     N
    
    =…∞.
   
We get some results of the Δ (or▽) analyticity for monomial p n ( z )= z n , especially for n = 3, n = 4.
    
     Theorem 0.7
    
    Suppose
     and
    and
     . Let
    . Let
     be two time scales with at least one right-scattered point in
    be two time scales with at least one right-scattered point in
     and at least
    
     n
    
    right-dense points in
    and at least
    
     n
    
    right-dense points in
     . Then there exists a point
    . Then there exists a point
     at which
    
     p
    
    
     
      n
     
    
    (
    
     z
    
    )=
    
     z
    
    
     
      n
     
    
    is not Δ analytic.
    at which
    
     p
    
    
     
      n
     
    
    (
    
     z
    
    )=
    
     z
    
    
     
      n
     
    
    is not Δ analytic.
   
    
     Theorem 0.8
    
    Let
     be two time scales,
    
     X
    
    
     1
    
    and
    
     X
    
    
     2
    
    be the sets of all right-scattered points of
    be two time scales,
    
     X
    
    
     1
    
    and
    
     X
    
    
     2
    
    be the sets of all right-scattered points of
     and
    and
     separately. Then there exists at most one point in
    separately. Then there exists at most one point in
     such that
    such that
     is Δ analytic at it. Furthermore, if
    is Δ analytic at it. Furthermore, if
     is Δ analytic at
    
     z
    
    
     0
    
    , then
    is Δ analytic at
    
     z
    
    
     0
    
    , then
     
     must be satisfied.
    must be satisfied.
   
    
     Theorem 0.9
    
    Let
     be two time scales. If there exists right-scattered point in
    be two time scales. If there exists right-scattered point in
     and
    and
     is a monotonic sequence converging to
    
     y
    
    
     0
    
    . Then there exists a point
    
     z
    
    
     0
    
    in
    is a monotonic sequence converging to
    
     y
    
    
     0
    
    . Then there exists a point
    
     z
    
    
     0
    
    in
     such that
    such that
     is not Δ analytic at
    
     z
    
    
     0
    
    .
    is not Δ analytic at
    
     z
    
    
     0
    
    .
   
We also obtain the parallel results of Δ analytic functions for ▽analytic functions on time scales.
Key words: time scales, linear dynamical system, exponential function, Banach algebra, analytic function