



    在本书中,总以
     分别表示实数域、复数域、整数集和自然数集;
    
     X
    
    (或
    
     H
    
    )表示复Banach(或Hilbert)空间。
    
     B
    
    (
    
     X
    
    )(或
    
     B
    
    (
    
     H
    
    ))表示
    
     X
    
    (或
    
     H
    
    )上有界线性算子全体构成的集合。
    
     M
    
    
     
      m
     
    
    表示
    
     m
    
    阶的复矩阵代数。
    分别表示实数域、复数域、整数集和自然数集;
    
     X
    
    (或
    
     H
    
    )表示复Banach(或Hilbert)空间。
    
     B
    
    (
    
     X
    
    )(或
    
     B
    
    (
    
     H
    
    ))表示
    
     X
    
    (或
    
     H
    
    )上有界线性算子全体构成的集合。
    
     M
    
    
     
      m
     
    
    表示
    
     m
    
    阶的复矩阵代数。
     表示时标,即实数轴
    表示时标,即实数轴
     上的非空闭子集。
    上的非空闭子集。
   
    时标上的分析理论创立于1988年,由德国数学家Hilger在他的博士论文
    
     
      [51]
     
    
    中提出。时标分析理论将连续与离散的分析理论整合并统一到同一框架,同时将经典的微积分理论拓广到一般的时标上来。Hilger
    
     [
    
    
     
      51
     
    
    
     ,
    
    
     
      52
     
    
    
     ]
    
    定义函数
     的Δ导数将通常的导数和向前差分统一起来。当
    的Δ导数将通常的导数和向前差分统一起来。当
     为实数轴时,Δ导数即为通常的导数
    
     f
    
    ′;当
    为实数轴时,Δ导数即为通常的导数
    
     f
    
    ′;当
     时,Δ导数即为通常的向前差分。因此,时标上的微积分将微分方程与差分方程统一并推广到时标动力学方程理论框架。近年来,时标动力学方程受到国内外众多学者的关注
    
     [
    
    
     
      23
     
    
    
     ,
    
    
     
      26
     
    
    
     ,
    
    
     
      18
     
    
    
     ,
    
    
     
      79
     
    
    
     ,
    
    
     
      20
     
    
    
     ]
    
    。2002年,Atici和Guseinov
    
     
      [9]
     
    
    将Δ导数中的前跃算子
    
     σ
    
    换成后跃算子
    
     ρ
    
    ,得到了▽导数的定义并且研究了时标上的▽动力学方程。
    时,Δ导数即为通常的向前差分。因此,时标上的微积分将微分方程与差分方程统一并推广到时标动力学方程理论框架。近年来,时标动力学方程受到国内外众多学者的关注
    
     [
    
    
     
      23
     
    
    
     ,
    
    
     
      26
     
    
    
     ,
    
    
     
      18
     
    
    
     ,
    
    
     
      79
     
    
    
     ,
    
    
     
      20
     
    
    
     ]
    
    。2002年,Atici和Guseinov
    
     
      [9]
     
    
    将Δ导数中的前跃算子
    
     σ
    
    换成后跃算子
    
     ρ
    
    ,得到了▽导数的定义并且研究了时标上的▽动力学方程。
   
线性微分方程和差分方程出现在数学的许多领域及其应用当中,比如描述许多力学系统、电路回路系统、生物系统等模型 [ 23 , 79 , 10 ] 。因此时标上的线性动力学方程具有重要的理论及实际意义。
本书主要研究时标上的线性动力学方程,分别在矩阵代数、抽象的Banach代数及Banach空间中考虑线性时标动力学方程解的算法、显式表达及解的存在唯一性等相关问题。另外,我们还研究了复时标上的解析函数理论。
    考虑时标
     上的线性动力学方程
    上的线性动力学方程
   
 
   
    其中
     上的矩阵值函数。
    上的矩阵值函数。
   
    当
     为常值函数时,方程(0.1)解的结构一直受到人们的关注
    
     [
    
    
     
      88
     
    
    
     ,
    
    
     
      65
     
    
    
     ,
    
    
     
      78
     
    
    
     ,
    
    
     
      49
     
    
    
     ,
    
    
     
      5
     
    
    
     ,
    
    
     
      83
     
    
    
     ,
    
    
     
      92
     
    
    
     ]
    
    。近些年来,随着时标动力学方程理论的蓬勃发展和应用的需要,人们对方程(0.1)解的结构和算法的研究也取得了一些成果。
    为常值函数时,方程(0.1)解的结构一直受到人们的关注
    
     [
    
    
     
      88
     
    
    
     ,
    
    
     
      65
     
    
    
     ,
    
    
     
      78
     
    
    
     ,
    
    
     
      49
     
    
    
     ,
    
    
     
      5
     
    
    
     ,
    
    
     
      83
     
    
    
     ,
    
    
     
      92
     
    
    
     ]
    
    。近些年来,随着时标动力学方程理论的蓬勃发展和应用的需要,人们对方程(0.1)解的结构和算法的研究也取得了一些成果。
   
    1990年,Hilger
    
     
      [52]
     
    
    标
     到
    到
     的广义Δ指数函数即为方程(0.1)对应纯量方程的解。
    的广义Δ指数函数即为方程(0.1)对应纯量方程的解。
   
    2001年,Bohner和Peterson
    
     
      [23]
     
    
    直接将矩阵方程(0.1)的唯一解定义为时标上的矩阵指数函数,记为
     。他们将Putzer算法
    
     
      [88]
     
    
    推广到求解广义常矩阵指数函数。后来,Harris算法及Leonard算法也被推广到广义常矩阵指数函数的计算
    
     [
    
    
     
      15
     
    
    
     ,
    
    
     
      95
     
    
    
     ,
    
    
     
      96
     
    
    
     ]
    
    。
    。他们将Putzer算法
    
     
      [88]
     
    
    推广到求解广义常矩阵指数函数。后来,Harris算法及Leonard算法也被推广到广义常矩阵指数函数的计算
    
     [
    
    
     
      15
     
    
    
     ,
    
    
     
      95
     
    
    
     ,
    
    
     
      96
     
    
    
     ]
    
    。
   
2007年,Verde-Star [92] 用初等方法和算子恒等式求解常系数线性矩阵微分方程,得到了矩阵指数函数 e At 的显式表达式。
本书在第2章中考虑方程(0.1)的求解问题,推广了Verde-Star [92] 的方法。下面介绍时标动力学方程(0.1)的求解方法及解的结构。
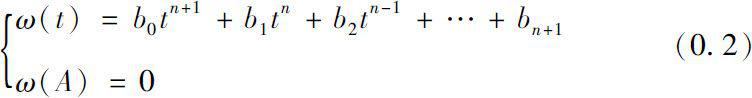
设 ω 是能被 A 的极小多项式整除的首一多项式,即
 
   其中 b 0 =1。
称初值问题
 
   的解为与 ω 相伴的动态解,其中 D 代表Δ导算子。
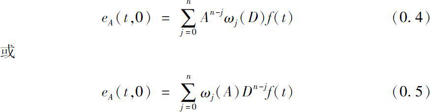
    定义
     为
    
     ω
    
    的Horner多项式。我们利用与
    
     ω
    
    相伴的动态解将方程(0.1)的解表示成矩阵
    
     A
    
    的多项式。
    为
    
     ω
    
    的Horner多项式。我们利用与
    
     ω
    
    相伴的动态解将方程(0.1)的解表示成矩阵
    
     A
    
    的多项式。
   
    
     定理0.1
    
    设
    
     A
    
    为
    
     m
    
    阶常矩阵。
    
     ω
    
    同(0.2),
     为
    
     ω
    
    的Horner多项式,
    
     f
    
    (
    
     t
    
    )是与
    
     ω
    
    相伴的动态解。则方程(0.1)的解(即广义矩阵指数函数)为
    为
    
     ω
    
    的Horner多项式,
    
     f
    
    (
    
     t
    
    )是与
    
     ω
    
    相伴的动态解。则方程(0.1)的解(即广义矩阵指数函数)为
   
 
   可见,广义矩阵指数函数的系数完全由与 ω 相伴的动态解决定。为引入与 ω 相伴的动态解公式,先做一些准备工作。
    定义时标
     上的基本广义指数多项式为
    上的基本广义指数多项式为
   
 
   
    其中
     是时标动力学方程
    是时标动力学方程
   
 
   的解。
 
   定义可交换的卷积运算*为
 
   其中
 
    
   下面介绍动力学方程(0.3)解公式。
定理0.2 设 ω 同(0.2),令
 
   则 f ω 是与 ω 相伴的动态解。
将(0.8)带入(0.4)或(0.5)即为广义常矩阵指数函数的明确表达式。
对于时标上线性常矩阵▽动力学方程的求解问题,我们可以得到与方程(0.1)平行的结论。
    当
    
     A
    
    (
    
     t
    
    )不是常值函数时,方程(0.1)解的结构比较复杂。在本书的第3章中,我们对一般的
    
     A
    
    (
    
     t
    
    )考虑
     的表达式,将广义实值指数函数的定义推广到Banach代数中。
    的表达式,将广义实值指数函数的定义推广到Banach代数中。
   
    设
     为复数域
    为复数域
     上的Banach代数,
    上的Banach代数,
     ,定义
    
     A
    
    的谱为
    ,定义
    
     A
    
    的谱为
     在
    在
     中不可逆}。设函数
    中不可逆}。设函数
     右稠连续,我们在一定的谱条件下定义了算子值函数
    
     A
    
    (·)的柱面变换。
    右稠连续,我们在一定的谱条件下定义了算子值函数
    
     A
    
    (·)的柱面变换。
   
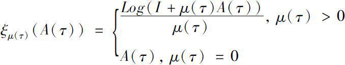
若 G 是主对数函数Logz的单值解析分支(解析区域为负实轴割破的复平面)。若函数 A (·)的谱满足条件
 
   则定义函数 A (·)的柱面变换为
 
   进而利用柱面变换引入Banach代数中Δ指数函数的概念。
    
     定义0.1
    
    设
     为有单位元的Banach代数,
    为有单位元的Banach代数,
     为时标,函数
    为时标,函数
     (或
    (或
     的子代数)。若函数
    
     A
    
    (·)右稠连续且满足谱条件(
    
     S
    
    ),定义函数
    
     A
    
    (·)的Δ指数函数为
    的子代数)。若函数
    
     A
    
    (·)右稠连续且满足谱条件(
    
     S
    
    ),定义函数
    
     A
    
    (·)的Δ指数函数为
   
 
   利用Riesz函数演算及谱映射定理可以验证定义0.1的合理性。我们定义的Δ指数函数 e A ( t , s )恰为有单位元的交换Banach代数中方程(0.1)的解,这推广了纯量方程的结果。
    
     定理0.3
    
    设
     是有单位元的交换Banach代数(或其交换子代数),
    
     I
    
    为
    是有单位元的交换Banach代数(或其交换子代数),
    
     I
    
    为
     中的单位元。若
    
     A
    
    (·)为
    中的单位元。若
    
     A
    
    (·)为
     到
    到
     上的右稠连续函数且满足谱条件(
    
     S
    
    ),则
    上的右稠连续函数且满足谱条件(
    
     S
    
    ),则
     是方程(0.1)的唯一解。
    是方程(0.1)的唯一解。
   
另外,我们还考虑了Banach代数中的▽指数函数,得到了与Δ指数函数平行的结论。
在本书的第4章中,我们考虑了Banach空间中的线性动力学方程
 
   
    其中,
     
   
    我们从算子值函数
    
     A
    
    (·)的值域角度出发,研究了解的存在唯一性。定义
    
     B
    
    (
    
     X
    
    )中的算子类
     ,其中
    
     σ
    
    (
    
     A
    
    )为算子
    
     A
    
    的谱。则是
    
     U
    
    在一定条件下,保证系统(0.10)解的存在唯一性不依赖于具体时标的最大算子类。
    ,其中
    
     σ
    
    (
    
     A
    
    )为算子
    
     A
    
    的谱。则是
    
     U
    
    在一定条件下,保证系统(0.10)解的存在唯一性不依赖于具体时标的最大算子类。
   
定理0.4 U 是 B ( X )中满足下面条件的最大的算子类。
    (
    
     G
    
    )对任意的时标
     ,若算子值函数
    ,若算子值函数
     按强算子拓扑右稠连续,则齐次方程(0.10)必存在唯一的全局解。
    按强算子拓扑右稠连续,则齐次方程(0.10)必存在唯一的全局解。
   
然后我们在Hilbert空间中刻划算子类 U 的闭包和内部,描述算子类 U 的大小。
    设
     分别表示
    
     A
    
    的核空间和
    
     A
    
    的值域。称
    分别表示
    
     A
    
    的核空间和
    
     A
    
    的值域。称
     是一个
    
     semi-Fredholm
    
    算子,如果
    
     R
    
    (A)是闭的,而且nul
    
     A
    
    和
    
     nulA
    
    
     *
    
    中至少有一个是有限的,其中nul
    
     A
    
    :=dim
    
     N
    
    (
    
     A
    
    ),nul
    
     A
    
    
     *
    
    :=dim
    
     N
    
    (
    
     A
    
    
     *
    
    );此时ind
    
     A
    
    :=nul
    
     A
    
    -nul
    
     A
    
    
     *
    
    称为
    
     A
    
    的指标。算子
    
     A
    
    的Wolf谱
    是一个
    
     semi-Fredholm
    
    算子,如果
    
     R
    
    (A)是闭的,而且nul
    
     A
    
    和
    
     nulA
    
    
     *
    
    中至少有一个是有限的,其中nul
    
     A
    
    :=dim
    
     N
    
    (
    
     A
    
    ),nul
    
     A
    
    
     *
    
    :=dim
    
     N
    
    (
    
     A
    
    
     *
    
    );此时ind
    
     A
    
    :=nul
    
     A
    
    -nul
    
     A
    
    
     *
    
    称为
    
     A
    
    的指标。算子
    
     A
    
    的Wolf谱
     定义为
    定义为
     不是semi-Fredholm算子},称
    不是semi-Fredholm算子},称
     为
    
     A
    
    的semi-Fredholm域。对任意的
    为
    
     A
    
    的semi-Fredholm域。对任意的
     ,记
    ,记
     。用
    。用
     表示集合
    
     U
    
    的闭包,
    表示集合
    
     U
    
    的闭包,
     表示
    
     U
    
    的内部。
    表示
    
     U
    
    的内部。
   
    
     定理0.5
    
    设
     ,则有
    ,则有
   
    (i)
     当且仅当对任意
    当且仅当对任意
     ,或者
    ,或者
     或者
    或者
     
     ;
    ;
   
    (ii)
     当且仅当
    当且仅当
     。
    。
   
    可见算子类
    
     U
    
    有内点,因此含有较多的算子。作为推论,当
     为矩阵代数时,
    为矩阵代数时,
     。
    。
   
我们还讨论了线性▽动力学方程解的存在唯一性问题,得到了与Δ动力学方程平行的结论。
    2006年,Bohner和Guseinov
    
     
      [19]
     
    
    将连续和离散复分析理论推广到时标上来。他们定义了复时标
     上的Δ解析函数(其中
    上的Δ解析函数(其中
     
     为任意时标),将第一类离散和半离散解析以及经典解析的概念统一并推广到时标框架下。2007年,Sinan
    
     
      [63]
     
    
    将文献[
    
     19
    
    ]的结果推广到▽解析函数的情形。
    为任意时标),将第一类离散和半离散解析以及经典解析的概念统一并推广到时标框架下。2007年,Sinan
    
     
      [63]
     
    
    将文献[
    
     19
    
    ]的结果推广到▽解析函数的情形。
   
    本书在第5章考虑复时标上函数的Δ和▽解析性与经典解析性之间的关系,得到了几类复时标上Δ和▽解析函数的局部开拓条件。并且对单项式
     在复时标上的Δ和▽解析性进行讨论。
    在复时标上的Δ和▽解析性进行讨论。
   
    设
     上的Δ(或▽)解析的函数,对
    上的Δ(或▽)解析的函数,对
     
     ,若存在复平面上的邻域
    ,若存在复平面上的邻域
     内的解析函数
    
     g
    
    (
    
     z
    
    ),使得对任意的
    内的解析函数
    
     g
    
    (
    
     z
    
    ),使得对任意的
     ,都有
    ,都有
     同时成立,则称
    
     g
    
    (
    
     z
    
    )为函数
    
     f
    
    (
    
     z
    
    )在
    
     z
    
    
     0
    
    点的一个局部解析开拓。若对任意
    同时成立,则称
    
     g
    
    (
    
     z
    
    )为函数
    
     f
    
    (
    
     z
    
    )在
    
     z
    
    
     0
    
    点的一个局部解析开拓。若对任意
     
     都存在局部解析开拓,则称
    都存在局部解析开拓,则称
     上存在局部解析开拓。
    上存在局部解析开拓。
   
我们对一类复时标上Δ解析函数得到了局部解析开拓的充要条件。
    
     定理0.6
    
    设
     为
    为
     上的闭区间(可以是
    上的闭区间(可以是
     
     为
    为
     中不含聚点的至多可数集合,其中
    中不含聚点的至多可数集合,其中
     
     。设函数
    。设函数
     在
    在
     解析,且
    解析,且
     。则
    。则
     的实部
    的实部
     与虚部
    与虚部
     在(
    
     a
    
    ,
    
     b
    
    )内实解析,当且仅当
    
     f
    
    (
    
     z
    
    )在
    在(
    
     a
    
    ,
    
     b
    
    )内实解析,当且仅当
    
     f
    
    (
    
     z
    
    )在
     上存在唯一的局部解析开拓(
    上存在唯一的局部解析开拓(
     时,
    
     k
    
    =1,2,3,…)。
    时,
    
     k
    
    =1,2,3,…)。
   
    我们对单项式
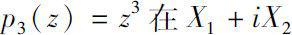
     在复时标上的Δ和▽解析性进行讨论,得到以下结果。
    在复时标上的Δ和▽解析性进行讨论,得到以下结果。
   
    
     定理0.7
    
    设
     上的两个时标。对任意给定的自然数
    上的两个时标。对任意给定的自然数
     ,若
    ,若
     中存在右散点,
    中存在右散点,
     中至少存在
    
     n
    
    个右稠点,则单项式
    中至少存在
    
     n
    
    个右稠点,则单项式
     上存在不Δ解析的点。
    上存在不Δ解析的点。
   
    
     定理0.8
    
    当
    
     n
    
    =3,设
     上的时标,并设
    上的时标,并设
     分别为
    分别为
     中全体右散点组成的集合,则
    中全体右散点组成的集合,则
     上至多存在一个Δ解析点
    上至多存在一个Δ解析点
     ,且满足
    ,且满足
     
     。
    。
   
    
     定理0.9
    
    当
    
     n
    
    =4时,设
     上的时标,若
    上的时标,若
     中存在右散点,
    中存在右散点,
     是以
    
     y
    
    
     0
    
    为极限的单调上升(或下降)数列。则
    是以
    
     y
    
    
     0
    
    为极限的单调上升(或下降)数列。则
     上存在不Δ解析的点。
    上存在不Δ解析的点。
   
对于▽解析函数,我们得到了与Δ解析函数平行的结论。
关键词:
时标,线性动力学方程,指数函数,Banach代数,解析函数