



由2.1节可知,时标上的线性矩阵方程(1.4.1)的解具有多项式表达,且其系数完全由与 ω 相伴的动态解决定。本节将与 ω 相伴的动态解记为 f ω ( t ),并讨论 f ω ( t )的显式表达。
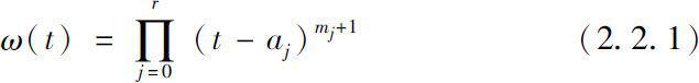
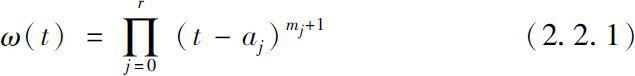
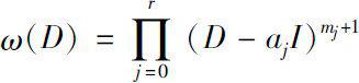
本节假设 ω ( t )具有如下形式
 
   
    其中
    
     a
    
    
     
      j
     
    
    为互不相同的复数,
    
     m
    
    
     
      j
     
    
    为非负整数且满足
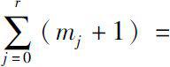
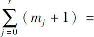
     n
    
    +1。
    
     n
    
    +1。
   
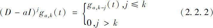
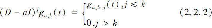
    由于
     ,我们首先考虑微分算子(
    
     D
    
    -
    
     al
    
    )
    
     
      k
     
    
    。
    ,我们首先考虑微分算子(
    
     D
    
    -
    
     al
    
    )
    
     
      k
     
    
    。
   
     如(1.4.6)所示,通过简单演算易得
    如(1.4.6)所示,通过简单演算易得
   
 
   满足
 
   
    我们知道,函数集合
     时是线性无关的
    
     
      [92]
     
    
    。事实上,对于一般的时标
    时是线性无关的
    
     
      [92]
     
    
    。事实上,对于一般的时标
     ,也是线性无关的。
    ,也是线性无关的。
   
    
     引理2.2.1
    
    设
     为一时标,
    为一时标,
     上的基本广义指数多项式为
    上的基本广义指数多项式为
   
 
   
    则函数集合
     线性无关。
    线性无关。
   
    
     证明:
    
    首先证明对于固定的
     ,集合
    ,集合
     线性无关。
    线性无关。
   
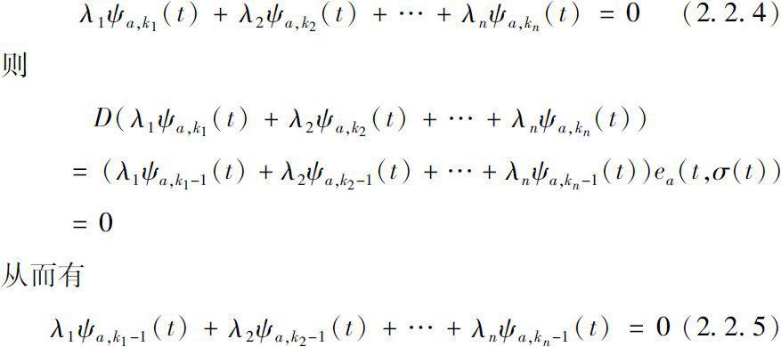
任取 n 个不同的函数
 
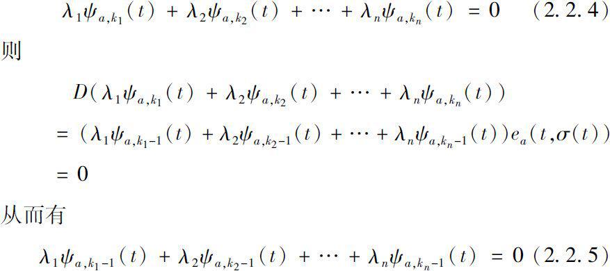
   不妨设 k 1 < k 2 <…< k n 。
若
 
   
    用
     作用(2.2.4)得
    作用(2.2.4)得
   
 
   故 λ n =0。以此类推可得
 
   
    即
     线性无关。
    线性无关。
   
    其次证明函数集合
     线性无关。
    线性无关。
   
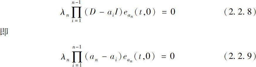
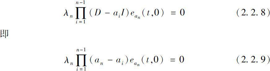
    任取两两不同的
    
     n
    
    (
    
     n
    
    >1)个数
     ,设
    ,设
   
 
   
    用算子
     作用(2.2.7)有
    作用(2.2.7)有
   
 
   
    故有
    
     λ
    
    
     
      n
     
    
    =0。同理可以证明
    
     λ
    
    
     1
    
    =
    
     λ
    
    
     2
    
    =…
    
     λ
    
    
     
      n
     
    
    
     -1
    
    =0,所以函数族
     线性无关。
    线性无关。
   
    下面用数学归纳法证明函数集合
     线性无关。
    线性无关。
   
    任取两个函数
     。
    。
   
设
 
   
    若
    
     a
    
    =
    
     b
    
    ,不妨设
    
     k
    
    <
    
     m
    
    .用
     作用(2.2.10)式两端有
    作用(2.2.10)式两端有
     ,故
    
     λ
    
    
     2
    
    =0。再由(2.2.10)式得
    
     λ
    
    
     1
    
    =0。
    ,故
    
     λ
    
    
     2
    
    =0。再由(2.2.10)式得
    
     λ
    
    
     1
    
    =0。
   
    若
    
     a≠b
    
    ,用
     作用(2.2.10)式两端有
    作用(2.2.10)式两端有
   
 
   故 λ 2 =0。再由(2.2.10)式得 λ 1 =0。
所以 g a,k , g b,m 线性无关。
假设集合 G 中任意 n 个函数线性无关。
    任取
    
     n
    
    +1个两两互不相同的函数
     
     。
    。
   
设
 
   
    若
     ,用算子
    ,用算子
     作用(2.2.11)式两端有
    作用(2.2.11)式两端有
   
 
   从而 λ n +1 =0,由归纳假设得 λ 1 = λ 2 =…= λ n =0。
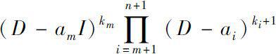
    若
     中至少有两个数相等,不妨设
    
     a
    
    
     1
    
    =
    
     a
    
    
     2
    
    =…
    
     a
    
    
     
      m
     
    
    ,且
    
     k
    
    
     1
    
    <
    
     k
    
    
     2
    
    ,…<
    
     k
    
    
     
      m
     
    
    ,其中1<
    
     m
    
    ≤
    
     n
    
    +1。
    中至少有两个数相等,不妨设
    
     a
    
    
     1
    
    =
    
     a
    
    
     2
    
    =…
    
     a
    
    
     
      m
     
    
    ,且
    
     k
    
    
     1
    
    <
    
     k
    
    
     2
    
    ,…<
    
     k
    
    
     
      m
     
    
    ,其中1<
    
     m
    
    ≤
    
     n
    
    +1。
   
    用算子
     作用(2.2.11)式两端有
    作用(2.2.11)式两端有
   
 
   
    从而
    
     λ
    
    
     
      m
     
    
    =0,再由归纳假设有
     
     。
    。
   
    综上,函数集合
     线性无关。
    线性无关。
   
    我们把由集合
     生成的复向量空间记为
    
     ε
    
    ,称
    
     ε
    
    中的元素为广义指数多项式。
    生成的复向量空间记为
    
     ε
    
    ,称
    
     ε
    
    中的元素为广义指数多项式。
   
    易见,函数组
     的任意线性组合都是(
    
     D
    
    -
    
     aI
    
    )
    
     
      j
     
    
    核空间中的元素。因此若
    
     ω
    
    如(2.2.1)所示,则集合
    的任意线性组合都是(
    
     D
    
    -
    
     aI
    
    )
    
     
      j
     
    
    核空间中的元素。因此若
    
     ω
    
    如(2.2.1)所示,则集合
     
     生成的向量空间包含在
    
     ω
    
    (
    
     D
    
    )的核空间内。
    生成的向量空间包含在
    
     ω
    
    (
    
     D
    
    )的核空间内。
   
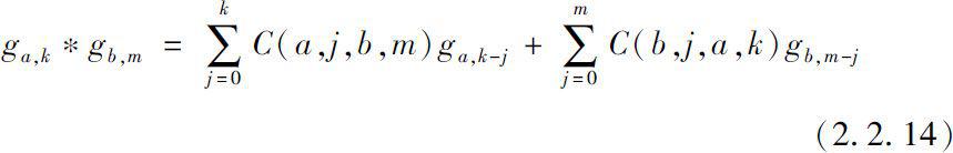
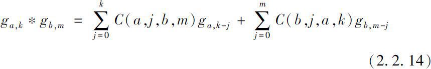
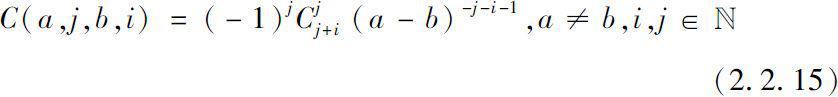
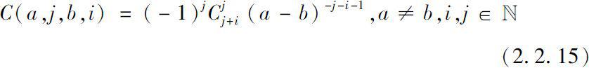
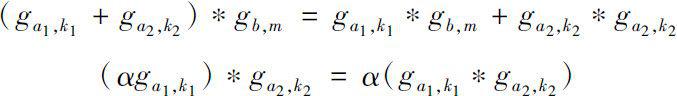
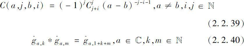
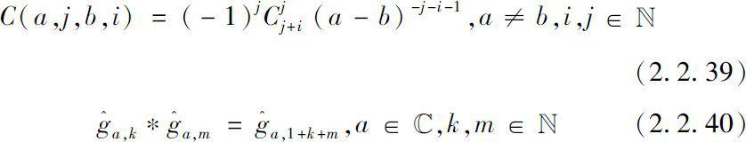
在集合 S 上定义可交换的卷积运算*。
若 a ≠ b ,定义
 
   其中
 
   若 a = b ,定义
 
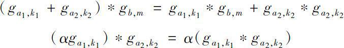
   定义线性运算为
 
   
    对
     。
    。
   
则卷积运算可线性扩张到空间 ε 上。
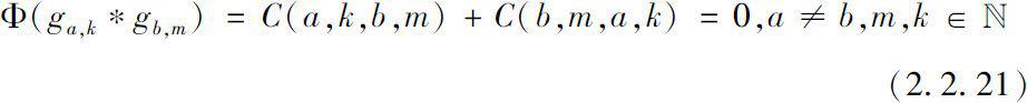
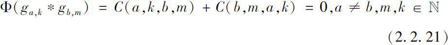
定义 ε 上的线性泛函Φ为
 
   
    事实上,即为
     处的值。
    处的值。
   
    
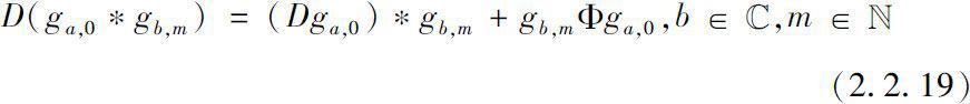
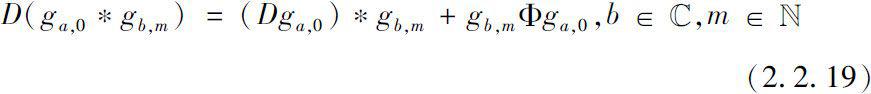
     引理2.2.2
    
    设Φ为
    
     ε
    
    上的线性泛函(2.2.17)。那么对任意
    
     f
    
     ,有
    ,有
   
 
   证明: 只需验证
 
   再由线性条件即得(2.2.18)。
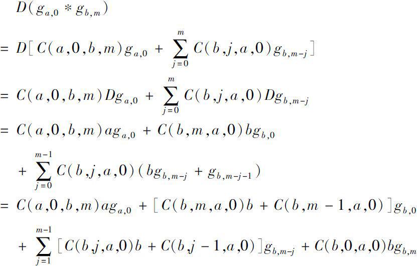
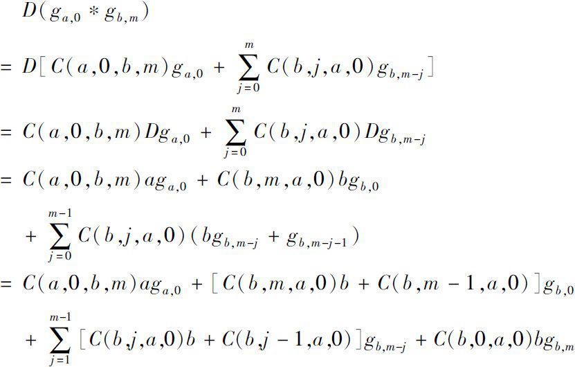
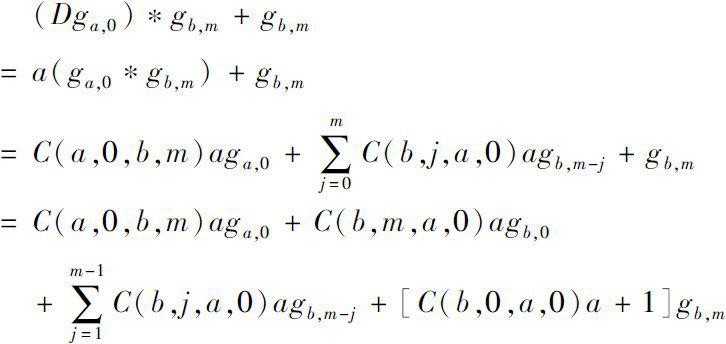
(2.2.19)式的左端为
 
   (2.2.19)式的右端为
 
   两端 g b,j ,0≤ j ≤ m 的系数均相等,故(2.2.19)式成立。
与 ω 相伴的动态解 f ω 可以写成指数多项式的卷积形式,即
 
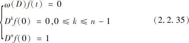
   下面给出定理1.4.2的证明。
定理1.4.2的证明 :由卷积的定义易知由 S 生成的 ε 的子空间关于卷积运算*是封闭的,因此 ω ( D ) f ω =0。只需验证 f ω 满足(1.4.3)的初值条件即可。由(1.2.14)及(2.2.15),我们有
 
   由(2.2.16)知
 
   因此,任意两个指数多项式的卷积在 t =0点的值均为零。从而有
 
   下面我们来确定 f ω 的初值。
    若
    
     ω
    
    只有一个
    
     n
    
    +1重根
    
     a
    
    ,则
     。令0≤
    
     k
    
    ≤
    
     n
    
    ,由于
    。令0≤
    
     k
    
    ≤
    
     n
    
    ,由于
     ,有
    ,有
   
 
   从而有
 
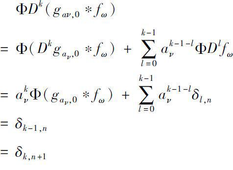
   若 ω 至少有两个不同的根,设 n >1,0≤ k ≤ n 。
f ω 以写成
 
   其中
 
   
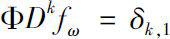
    由引理2.2.2有
     ,故
    ,故
   
 
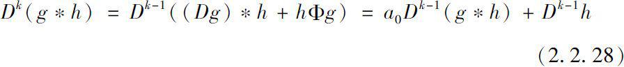
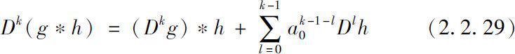
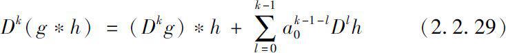
   按(2.2.28)依次迭代得
 
   往证
 
   对 n 用数学归纳法证明(2.2.30)。
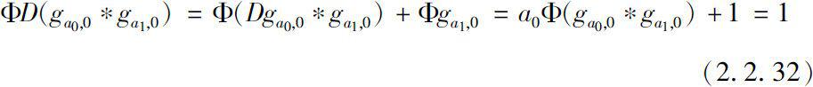
    当
    
     n
    
    =1时,
     。若
    
     k
    
    =0,则
    。若
    
     k
    
    =0,则
   
 
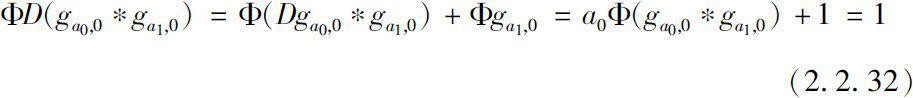
   若 k =1,则
 
   
    由(2.2.31)及(2.2.32)得
     。
    。
   
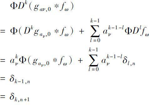
假设(2.2.30)在 n 时成立。对 n +1,设
 
   其中
 
   
    由(2.2.2)得
     。故
    。故
   
 
   对0≤ k ≤ n +1,由(2.2.29)式及(2.2.30)式有
 
   
    综上,(2.2.30)式成立,故
     是与ω相伴的动态解。
    是与ω相伴的动态解。
   
我们还可以考虑线性常矩阵▽动力学方程 [7]
 
   
    其中
    
     A
    
    为
    
     m
    
    阶常矩阵,
     为矩阵值函数。
    为矩阵值函数。
   
    称方程(2.2.34)的解为▽矩阵指数函数,记为
     。
    。
   
与Δ动力学方程(1.4.1)的讨论类似,我们可以对应得到▽动力学方程(2.2.34)的求解方法。这里只列出一些主要的内容。
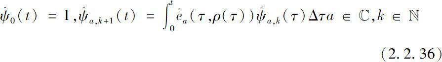
设ω同(1.4.2)。称初值问题
 
   的解为与ω相伴的▽动态解,其中 D 代表▽导算子。
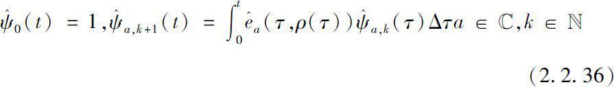
    定义时标
     上的▽多项式序列为
    上的▽多项式序列为
   
 
   
    其中
     是方程
    是方程
   
 
   的解。
    定义时标
     上的基本▽指数多项式为
    上的基本▽指数多项式为
   
 
   
    定义卷积运算
     为
    为
   
 
   其中
 
   我们可以利用与ω相伴的▽动态解将矩阵方程(2.2.34)的解表示成 A 的多项式。
    
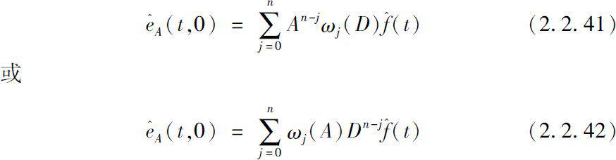
     定理2.2.1
    
    设
     为ω的Horner多项式;
    为ω的Horner多项式;
     是与ω相伴的▽动态解。
    是与ω相伴的▽动态解。
   
则▽动力学方程(2.2.34)的解(即▽矩阵指数函数)为
 
   证明: 与定理1.4.1类似,略。
由(2.2.41)和(2.2.42)可见,▽矩阵指数函数的系数完全由与ω相伴的▽动态解决定。
我们同样可以得到与ω相伴▽动态解的显式表达式。
定理2.2.2 设ω同(1.4.2),令
 
   
    则
     是与ω相伴的▽动态解。
    是与ω相伴的▽动态解。
   
证明: 证明与定理1.4.2类似,略。
由定理2.2.1和定理2.2.2即可得到▽动态方程(2.2.34)的解的显式表达。