



计算机同样也可以看作由相互作用的各部分集合而成;很大程度上由于这个原因,理论计算机科学中同样有很多悬而未决的重要问题。其中有如下这样一个例子,我们可能愿意去尝试解答。假设某人选取了两个素数p和q,将它们相乘后的结果pq告诉你。你只要逐个取素数,看看它是否能够整除pq,即可以找出p和q。例如,给出91,你很快就能发现它不是2,3,5的倍数,继而发现它恰好等于7×13。
然而,当p和q非常大时——比方说都是200位的素数,那么这一试错过程会耗时极长,即使借助于强力计算机也是如此。(如果你想要体会一下这种困难,不妨尝试找出6901的两个素因子,以及280 123的。)可另一方面,似乎也不难感觉到,说不定这个问题存在着更聪明的解决办法,基于它就可以编制出一种快速运转的计算机程序。如果能找到这种好办法,我们就能破解作为大部分现代安全系统之基石的密码,包括在互联网上以及其他各处——破解这些密码的难点就在大整数的因子分解。反之,如果能够表明由pq计算出p和q的这种快速有效的方法不存在的话,我们则能够安心。不幸的是,虽然计算机总在不断地让我们惊叹它的各种能力,对于它们做不了的,我们却几乎毫无了解。
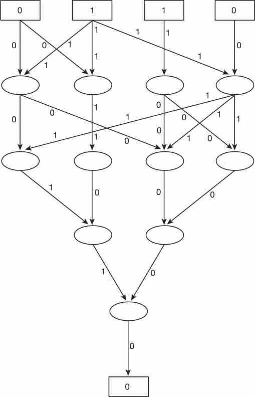
在思考这个问题之前,我们必须找到一种方法来数学化地表示计算机,并且要尽可能简单。图4所显示的就是一种极好的方法。它包含许多层节点,连结点和点之间的线段称作“边”。进入到最顶层的称作“输入”,这是一条0和1的序列,从最底层出来的叫作“输出”,是另一条0和1的序列。节点分为三种,分别称作“与门”、“或门”和“非门”。每一个门都从连结上层的边中接收到一些0和1。它再根据所接收到的数码来自己发出一些0和1,所遵循的简单规则如下:与门当接收到的输入全部为1时,输出1,否则输出0;或门当接收到的输入全部为0时,输出0,否则输出1;非门只允许一条边连结上层,它在接收到1时输出0,接收到0时输出1。
一系列门由边连接起来就称作一条电路,我上面所描述的模型正是关于计算的电路模型。使用“计算”一词是恰如其分的,因为我们可以把电路看作这样一种装置,它拥有一条0和1的序列,继而按某些预定规则将其变换为另一条序列,如果电路很大,变换规则可能会很复杂。这也正是计算机所进行的工作,只不过它们能够把这些序列翻译成我们能够理解的格式,诸如高级程序设计语言、视窗系统、图标等等。实际上,存在一种比较简单的办法(仅从理论的角度而言——在实践上操作将是个噩梦),能将任意计算机程序转换为一条按完全相同的规则变换01序列的电路。而且,计算机程序的重要特征恰在其对应电路中有着非常类似的对照物。
图4 一个简单的计算机程序
具体而言,电路中的节点数量正对应于计算机程序运转所花费的时间。因此,如果我们能够表明,按某种方式来变换01序列需要庞大的电路,那么也就说明这种变换方式所需要的计算机程序运转时间很长。我们使用电路模型而非直接分析计算机,其优势就在于,从数学的角度来看电路更简单也更自然,考虑起来更容易一些。
对电路模型进行一点小小的修改,我们就能得到大脑的一种有用的模型。这种模型不再使用01序列,而是使用0和1之间的任意值来表示强度各异的信号。所有的门,即对应于神经元或者脑细胞,也有所不同,但其行为还是很简单的。每个门从其他的门接收到一些信号,如果这些信号的总强度——对应数字的总和——足够大,门就在某个特定的强度水平上输出它自己的信号,否则不输出。这对应于神经元所作的是否“激发”的决策。
似乎很难相信这个模型能够捕捉大脑全部的复杂性,但这部分缘于我并没有提到应当有多少个门以及如何安排这些门。一个典型的人类大脑包含大约1000亿个神经元,它们以非常复杂的方式排列着;以我们当前对大脑的认识,还不可能谈及太多——至少在精微的细节方面不可能说清。不过,上述模型提供了一种有益的理论框架,供我们思考大脑可能是如何工作的,也使我们能够模拟某些类似于大脑运行的行为。