



 
    
    在上一节中,我们讨论了序列的极限,这只是一般函数极限的特殊情况。事实上,序列是定义在自然数集合上的一种函数,只不过其自变量n的变化是离散的而已。在考虑序列极限时,自变量的变化过程只有一种,即n趋于无穷,记做n→∞。但是,当我们考查函数y=f(x)的极限时,自变量x的变化过程是连续的,并有多种可能性。比如:
(1)x是从一点a的右侧趋向于a,这时记做x→a+0;或者x从一点a的左侧趋向于a,记做x→a-0。
(2)x同时从一点a的两侧趋向于a,记做x→a。
(3)x无限制地增大,记做x→+∞,或者x无限制减小,记做x→-∞。
(4)x的绝对值|x|无限制地增大,也即x沿x轴的正向与负向同时无限远离原点,记做x→∞。
1. 单侧极限
 
   现在我们先讨论第一种情况,即x→a+0或x→a-0的情况。
先看几个具体例子:
符号函数y=sgnx:直观上看(见图1.5),
当x→0+0时,即当x自原点右侧趋向于原点时,sgnx趋向于1,而当x→0-0时,也即当x自原点左侧趋向于原点时,sgnx趋向于-1。这时我们称符号函数在原点的右极限为1,左极限为-1。
    函数
     (见图1.6):显然,当x→1+0时,{x}趋向于0;而当x→1-0时,{x}趋向于1。这时我们称函数y={x}在x=1处的右极限为0,左极限为1。
    (见图1.6):显然,当x→1+0时,{x}趋向于0;而当x→1-0时,{x}趋向于1。这时我们称函数y={x}在x=1处的右极限为0,左极限为1。
   
函数y=sinx:当x→π/2+0时,sinx趋向于1;而x→π/2-0时,也有sinx趋向于1,故函数sinx在π/2处的左、右极限都是1。
    函数
     当x→0+0或x→0-0时,函数值不断地在-1及1之间摆动,这时无极限可言(见图1.10)。
    当x→0+0或x→0-0时,函数值不断地在-1及1之间摆动,这时无极限可言(见图1.10)。
   
    函数
     当x自0点之右侧或左侧趋向于0时,虽然函数值也在不断地上下摆动,但其“振幅”却在不断减小,并且任意接近于0(见图1.11)。这时,我们把0称做这个函数在x=0处的左、右极限。
    当x自0点之右侧或左侧趋向于0时,虽然函数值也在不断地上下摆动,但其“振幅”却在不断减小,并且任意接近于0(见图1.11)。这时,我们把0称做这个函数在x=0处的左、右极限。
   
 
    图 1.10
 
    图 1.11
对于序列极限,我们有ε-N的严格说法,其中ε用来描述a n 的值与极限值之间的偏离的程度,而N用来描述序列的项数n“接近∞”的程度。现在讨论函数f(x)的极限,当然仍用ε描述函数值f(x)与极限值之间的偏离程度,而自变量x与点a接近的程度应该换成用一个充分小的正数,通常用δ来描述(δ希腊字母,读作delta)。所谓“x从a的右侧充分靠近a”可以用0<x-a<δ来描述,其中δ是充分小的正数。类似地,可以用0<a-x<δ来描述x从a左侧充分靠近a。在这种看法下,过去对序列的ε-N的说法,对函数就换成ε-δ的说法。
定义 设y=f(x)是定义在(a,b)上的一个函数。若存在一个实数l,对于任意给定的ε>0,无论它多么小,都存在一个δ>0,使得
|f(x)-l|<ε, 只要0<x-a<δ,
    则我们称当x→a+0时f(x)以l为右极限,记做
     或者说当x→a+0时,f(x)趋向于l,记做
    或者说当x→a+0时,f(x)趋向于l,记做
   
 
   用完全类似的方法定义x→a-0时f(x)的左极限,只要设f(x)在a的左侧附近有定义并在上述定义中将0<x-a<δ换成0<a-x<δ即可。
为了直观地了解左右极限的几何意义,请读者画一张草图,来表示ε与δ的意义。
以上两种情况的极限称做单侧极限。从前面的例子可以看出,一个函数的右极限与左极限可能不相等,也可能相等。
2. 双侧极限
 
   下面讨论自变量x从一点a之两侧趋于a的情况。
有了单侧极限的讨论,我们便很容易给出x→a时f(x)的极限存在的定义。只要将前面关于单侧极限定义中的条件0<x-a<δ或0<a-x<δ换成0<|x-a|<δ即可。
定义 设y=f(x)是定义在一点a的空心邻域
U r (a)\{a}=(a-r,a)∪(a,a+r)
上。若存在一个实数l,对于任意给定的ε>0,无论它多么小,都存在一个δ>0,使得
|f(x)-l|<ε, 只要0<|x-a|<δ,
则我们称当x趋于a时f(x)以l为极限,记做
 
   或者说,当x趋于a时,f(x)趋于l,记做
f(x)→l (x→a)。
当x→a时,若f(x)以某个数l为其极限,则称当x→a时f(x)的极限存在。
    从定义立即看出,若
     存在,则
    存在,则
     与
    与
     也存在并相等。反之亦然,即若
    也存在并相等。反之亦然,即若
     与
    与
     都存在并且相等,则
    都存在并且相等,则
     也存在。
    也存在。
   
这样,若左侧或右侧极限中有一个不存在,或虽都存在但不相等时,则双侧极限不存在。
    例1 符号函数y=sgnx在0点无双侧极限。事实上,
     
     故sgnx在x=0处的双侧极限不存在。
    故sgnx在x=0处的双侧极限不存在。
   
    在上述极限的定义中,我们没有要求函数y=f(x)在a点有定义,而只是要求它在a点的空心邻域内有定义。这里我们所关心的是,当自变量x自a点左右两侧趋向于a(没有达到a)时函数值的变化趋势。因此,y=f(x)在a点可以没有定义;即使有定义,y=f(x)在a点的值f(a)与x→a时f(x)的极限之间没有必然的联系。例如,
     但是sgn0=0。
    但是sgn0=0。
   
下面我们通过几个具体例子说明如何用ε-δ说法去证明一个极限式。
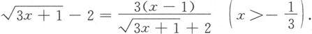
    例2 证明
     
   
证 首先,考虑
 
   于是,我们有
 
   
    对于任意给定的ε>0,为使
     只要
    只要
     也即只要
    也即只要
     另外,考虑到
    另外,考虑到
     的定义域为
    的定义域为
     因此,应有
    因此,应有
     
     可见,为了保证x落在函数
    可见,为了保证x落在函数
     的定义域,还应要求
    的定义域,还应要求
     
     这样,我们取
    这样,我们取
     ①
     
    
    ,即有
    
     
      ①
     
    
    ,即有
   
     只要0<|x-1|<δ。
    只要0<|x-1|<δ。
   
    例3 证明:
     
   
从直观上看,这个极限式的成立是十分自然的事。下面我们用ε-δ的说法严格证明它。
证 首先,我们有
 
   利用弧长大于弦长,由图1.12很容易看出|sinθ|≤|θ|。可见,由前述不等式我们有
|sinx-sina|≤|x-a|。
这样,为使|sinx-sina|<ε,只要|x-a|<ε即可。对于任意给定的正数ε,我们取δ=ε。这时,我们有
|sinx-sina|<ε, 只要0<|x-a|<δ。
证毕。
 
    图 1.12
从上述两个例子中我们看出,若要证明一个表达式f(x)当x→a时的极限为l,首先要考虑|f(x)-l|,并对它作适当的变形和放大,尽可能使之成为依赖于|x-a|的一个量,然后我们让放大后的表达式小于给定的ε,从而决定要找的δ。
3. 关于函数极限的定理
 
   有关序列极限的全部定理,对函数的极限都成立,其证明也类似。现在,我们仅就双侧极限的情况将它们列出而略去它们的证明:
定理1 设有f(x),g(x)及h(x)三个函数定义在点a的一个空心邻域内,且满足不等式
h(x)≤f(x)≤g(x)。
    假如
     且
    且
     则
    则
     
   
    例4
     
   
    前面已经指出极限
     是一个重要极限。现在的这个极限
    是一个重要极限。现在的这个极限
     是微积分中又一个重要的极限。其重要性在后面讨论导数时会看出:利用它导出sinx的导数为cosx。
    是微积分中又一个重要的极限。其重要性在后面讨论导数时会看出:利用它导出sinx的导数为cosx。
   
    我们先考虑
     的情况。为此,我们作图1.13,其中圆半径为1,而圆弧
    的情况。为此,我们作图1.13,其中圆半径为1,而圆弧
     的长度为x,也即它所对的角的弧度数为x。
    的长度为x,也即它所对的角的弧度数为x。
   
 
    图 1.13
从图1.13中容易看出:sinx<x。另一方面,扇形OAD的面积小于三角形OCD的面积,也即
 
   这样我们有
 
   也即
    上式对
     的情况也成立,这是因为cosx与sinx/x都是偶函数,也即当将x换成-x时其函数值不变。
    的情况也成立,这是因为cosx与sinx/x都是偶函数,也即当将x换成-x时其函数值不变。
   
    注意到
     及常数函数y=1的极限是1,由上式及定理1立即得出我们所要的结论。
    及常数函数y=1的极限是1,由上式及定理1立即得出我们所要的结论。
   
定理2 设f(x)及g(x)是定义在a点的一个空心邻域内的函数。若
 
   则有
 
   且在l 2 ≠0时有
 
   
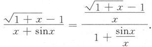
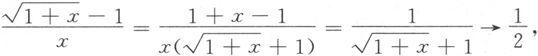
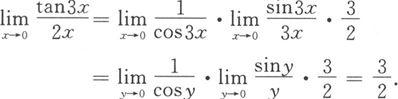
    例5 求
     
   
解 这个表达式的分子与分母的极限都是零,因而不能直接应用定理2。将上式分子与分母同时除以x(注意在x趋于0的过程中x≠0)立即得到
 
   
    在作了这样的形变后,分母的极限不再为零,这时便可应用定理2。当x→0时,
     而
    而
   
 
   
    于是
     
   
    这里用到
     这一事实,它可以直接证明。
    这一事实,它可以直接证明。
   
    例6 求
     
   
    解 由
     可以推出
    可以推出
   
 
   这里我们作了一个变量替换y=5x。同理可以推出
 
   
    这里用到
     
   
总结前面的结果,我们有
 
   序列极限中有关极限不等式的定理,在函数极限中同样成立。
定理3 设f(x)及g(x)是定义在a点的一个空心邻域内的函数,且
 
   若l 1 >l 2 ,则存在一个δ>0,使得
f(x)>g(x), 只要0<|x-a|<δ。
    推论 设
     则存在一个δ>0,使得
    则存在一个δ>0,使得
   
f(x)>0, 只要0<|x-a|<δ。
这也就是说,若一个函数当自变量趋向一点a时的极限大于0,则它在a的某个小的空心邻域内都大于0。这个结论很容易从定理3中推出,只要将其中的函数y=g(x)取成恒等于零的函数即可。它的几何意义也是十分明显的。
定理4 设f(x)及g(x)是定义在点a的一个空心邻域内的函数,且在这个空心邻域内满足f(x)≥g(x)。若当x→a时函数f(x)及g(x)的极限均存在,则
 
   现在,我们来讨论函数极限与序列极限之间的关系。我们有下面的定理。
    定理5 设函数f(x)在a点的一个空心邻域内有定义,并且
     假若{x
    
     n
    
    }是一串在该空心邻域内取值的序列,且
    假若{x
    
     n
    
    }是一串在该空心邻域内取值的序列,且
   
 
   则有
 
   
    证 根据假定
     对于任意给定的ε>0,存在一个δ>0,使得
    对于任意给定的ε>0,存在一个δ>0,使得
   
|f(x)-l|<ε, 只要0<|x-a|<δ。
特别地,|f(x n )-l|<ε,只要0<|x n -a|<δ。然而根据定理中x n →a(n→∞)的假定,对于这个δ>0存在一个自然数N,使得|x n -a|<δ,只要n>N。注意到x n 只在a的空心邻域内取值,故对一切n,x n ≠a,也即有|x n -a|>0。于是,我们有
|f(x n )-l|<ε, 只要n>N。
证毕。
    这个定理为我们提供了一种证明函数极限不存在的办法:对于一个定义在a点的某空心邻域内的函数f(x),如果能找到两串序列
     与
    与
     它们都在a的该空心邻域内取值,且当n→∞时都以a为极限,而极限
    它们都在a的该空心邻域内取值,且当n→∞时都以a为极限,而极限
     与
    与
     都存在但不相等,则f(x)在x→a时不可能有极限。
    都存在但不相等,则f(x)在x→a时不可能有极限。
   
    例7 函数
     时没有极限。
    时没有极限。
   
    事实上,取
     则
    则
     而取
    而取
     则
    则
     这时显然有
    这时显然有
     且
    且
   
 
   
    因此,当x→0时,函数
     没有极限。
    没有极限。
   
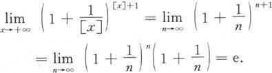
4. 自变量趋于无穷时函数的极限
 
   正如本节开始时所指出的,自变量x趋于无穷有三种情况:x→+∞,x→-∞及x→∞。其中前两种情况意义十分明白,而第三种情况x→∞则要特别注意它要求自变量x沿x轴的正向与负向同时无限增大,也即相当于要求|x|→+∞。因此,x→∞的过程实际上此时包含了x→+∞与x→-∞两个过程,这一点读者应当注意。
定义 设y=f(x)在(a,+∞)内有定义。若有一个数l,对于任意给定的正数ε,都存在A(A>a)使得
f(x)-l|<ε,只要x>A,
    那么我们称l为x→+∞时f(x)的极限,记做
     
   
    对于极限
     可用类似的方式定义。
    可用类似的方式定义。
   
    例8 证明
     
   
证 对于任意给定的ε>0,为使|e -x -0|<ε,只要e -x <ε,也即只要x>-lnε。因此,可取A=-lnε,这时有
|e -x -0|<ε,只要x>A。
    这就证明了
     证毕。
    证毕。
   
    定义 设y=f(x)在{x:|x|>a}上有定义,且对任意的ε>0,存在A>a使得当|x|>A时,|f(x)-l|<ε,我们则称l为f(x)当x→∞时的极限,并记做
     
   
    现在,我们要特别强调指出:极限
     存在的充分必要条件是
    存在的充分必要条件是
     与
    与
     都存在并且相等。
    都存在并且相等。
   
    若
     与
    与
     中有一个不存在,或它们都存在但不相等,则
    中有一个不存在,或它们都存在但不相等,则
     不存在。
    不存在。
   
    例如,
     不存在,因为
    不存在,因为
     不存在。又例如,
    不存在。又例如,
     也不存在,因为
    也不存在,因为
     而
    而
     
   
    根据定义,很容易看出,当
     存在时,则
    存在时,则
     也存在且有
    也存在且有
   
 
   我们还要指出,关于极限的夹逼定理,极限不等式以及关于极限的四则运算的定理,对x→+∞,x→-∞以及x→∞等极限过程也都成立,这里不再重述。
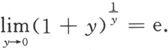
    最后,我们讨论一个重要极限,它是
     的推广。
    的推广。
   
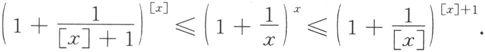
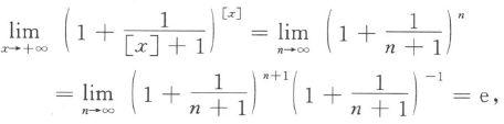
    例9
     
   
证 对于任意的x>1,我们有
 
   而
 
    
   这样由夹逼定理即得
 
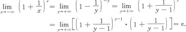
   现在考虑x→-∞的过程。令y=-x,则y→+∞。注意利用上面所得的结果,有
 
   
    由
     即得
    即得
   
 
   证毕。
    由极限
     可以推出
    可以推出
   
 
   
    这只要作一个变量替换
     即可。
    即可。
   
例10 设k为正整数,证明
     
   
     
   
证 由
 
   及极限的乘法公式,立即推出(1)式。
为证明(2)式,我们令y=(kx) -1 ,则有
 
   注意到当x→0时,y→∞,于是由(1)又得
 
   证毕。
5. 无穷大量
 
   最后我们介绍无穷大量的概念。某些函数在自变量x的一个特定变化过程中函数的绝对值无限制地增大。比如当x→+∞时,e x 无限增大。这种绝对值无限增大的量就称为无穷大量。它的确切定义如下:
定义 设f(x)在x 0 的一个空心邻域内有定义。若对于任意给定的正数M,不论它有多么大,总存在一个δ>0,使得0<|x-x 0 |<δ时,就有|f(x)|>M,则称当x→x 0 时f(x)为无穷大量,并记做
 
   或 f(x)→∞ (x→x 0 )。
读者可以仿照此定义自己给出自变量的其他变化过程中的无穷大量的定义。
显然,若x→x 0 时f(x)是无穷大量,则当x→x 0 时f(x)没有极限。
    这里应该特别提醒读者:尽管我们将无穷大量f(x)写成
     的形式,但是我们仍然认为当x→x
    
     0
    
    时f(x)的极限不存在。通常关于极限四则运算的定理对于无穷大量而言不成立。
    的形式,但是我们仍然认为当x→x
    
     0
    
    时f(x)的极限不存在。通常关于极限四则运算的定理对于无穷大量而言不成立。
   
无穷大量又有两种特殊情况:
f(x)→+∞(x→x 0 )及f(x)→-∞(x→x 0 )。
它们的含义是清楚的,读者自己可以给出其确切定义。
历史的注记
    在本节中我们证明了极限
     其中e是自然对数的底。这使我们不能不提到它的引入者——欧拉。
    其中e是自然对数的底。这使我们不能不提到它的引入者——欧拉。
   
欧拉(Léonhard Euler, 1707—1783),生于瑞士的巴塞尔,卒于俄国的彼得堡。他15岁大学毕业,18岁开始发表数学论文,20岁应邀赴俄国彼得堡科学院从事研究。14年后又转到柏林科学院工作,在柏林工作长达25年之久,1766年再次回到彼得堡。
欧拉是18世纪中最杰出的数学家与科学家之一。他在分析学、力学、数论等方面作了大量的研究工作,共发表学术论文800余篇,是一个无与伦比的高产作者。
欧拉的最大的功绩之一是拓展了微积分的研究领域与应用范围,为级数理论、变分法、微分方程和微分几何等领域的产生与发展奠定了重要基础。此外,他是复变函数论和理论流体力学的先驱者。至今,在现代数学众多分支中很多重要公式或定理都以欧拉命名。
欧拉不仅具有非凡的研究才能而且有惊人的毅力。晚年双目失明,但仍然坚持研究工作。他凭借着超人的记忆力与心算技巧,通过助手记录他的口述,继续他的研究工作并完成了大量的重要著作。
习题 1.4
1. 直接用ε-δ说法证明下列各极限式:
     
   
     
   
     
   
     
   
    2. 设
     证明:存在a的一个空心邻域(a-δ,a)∪(a,a+δ),使得函数y=f(x)在该邻域内是有界函数。
    证明:存在a的一个空心邻域(a-δ,a)∪(a,a+δ),使得函数y=f(x)在该邻域内是有界函数。
   
3. 求下列极限:
     
   
     
   
     
   
     
   
     
   
     
   
     
   
     
   
     
   
     
   
     
   
     
   
     
   
     
   
     
   
     
   
    4. 利用
     及
    及
     求下列极限:
    求下列极限:
   
     
   
     
   
     
   
     
   
     
   
     
   
     
   
5. 给出
 及
    及
     
   的严格定义。