



函数极限的ε-δ(或ε-X)定义以及上一节的定理2,都只能用来验证数A是否为函数的极限.不仅验证过程较为繁复,而且若事先无法确定数A,就没办法操作了.为此,我们有必要发展一套直接计算极限的方法与规则.在以下的讨论中,引进记号“lim”,它泛指自变量的各种变化过程,也即不管是x→x 0 ,或是x→∞,还是单侧极限,法则都是适用的.不过证明时,我们只对x→x 0 给出.
函数极限也有与数列极限类似的四则运算法则,其前提条件是各有关函数的极限都是存在的.
定理1 若极限limf(x)=A,limg(x)=B,则
(1)lim[f(x)±g(x)]=limf(x)±limg(x)=A±B;
(2)lim[f(x)g(x)]=limf(x)·limg(x)=AB;
    (3)
     
   
证 仅证(2),另外两个结论的证明留给读者.
因limf(x)=A,limg(x)=B,由§1.4的定理2,应有f(x)=A+α,g(x)=B+β,其中α和β都是同一变化过程的无穷小,所以
f(x)g(x)-AB=(A+α)(B+β)-AB=Aα+Bβ+αβ.
由无穷小的运算性质知,Aα,Bβ和αβ都是无穷小,从而其和也是无穷小.因此,再由§1.4的定理2得
lim[f(x)g(x)]=AB=limf(x)·limg(x).
注 定理1的(1)和(2)均可推广到有限个函数的情形.
推论 若极限limf(x)=A,则
(1) lim[Cf(x)]=Climf(x)=CA,其中C为常数;
(2)lim[f(x)] n =[limf(x)] n =A n ,其中n是正整数.
下面举几个例子说明极限四则运算法则的应用.
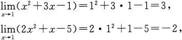
    例1 求极限
     
   
    解
     
   
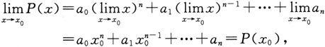
若记f(x)=3x 2 -5x+4,从上面计算过程可以看出
 
   推广 例1的结论可以推广到一般的有理整函数(多项式)的极限:设多项式
P(x)=a 0 x n +a 1 x n-1 +…+a n ,
    则
     
   
即多项式P(x)当x→x 0 时的极限等于P(x)在x 0 处的函数值P(x 0 ).
例2 求极限
 
   解 根据例1的推广,可得
 
   
    所以
     
   
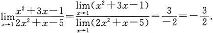
    推广 对于一般的有理分式函数
     其中P(x),Q(x)都是多项式,根据例1的推广,有
    其中P(x),Q(x)都是多项式,根据例1的推广,有
   
 
   设Q(x 0 )≠0,则
 
   
    即有理分式函数
     当x→x
    
     0
    
    时的极限等于F(x)在x
    
     0
    
    处的函数值F(x
    
     0
    
    ).
    当x→x
    
     0
    
    时的极限等于F(x)在x
    
     0
    
    处的函数值F(x
    
     0
    
    ).
   
值得注意的是,若Q(x 0 )=0,则关于商的极限运算法则不再适用,因而上述推广的结论就不成立.
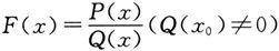
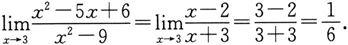
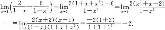
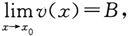
    例3 求极限
     
   
解 因分母极限为0,所以商的极限运算法则不能用.注意到分子的极限也为0,可采用因式分解的方法加以化简:
 
   由于x→3是x≠3而趋于3,因而
 
   
    注 当分子、分母的极限均为0时,这种分式的极限称为
     型未定式.之所以称为“未定式”,是因为这类分式的极限可能存在,也可能不存在,不能一概而论,它存在与否取决于分式的具体形式,需具体问题具体分析.最常用的方法是把分子、分母因式分解,约去极限为0的因子,化为分母极限不为0的商的极限,再运用极限运算法则.
    型未定式.之所以称为“未定式”,是因为这类分式的极限可能存在,也可能不存在,不能一概而论,它存在与否取决于分式的具体形式,需具体问题具体分析.最常用的方法是把分子、分母因式分解,约去极限为0的因子,化为分母极限不为0的商的极限,再运用极限运算法则.
   
    极限的未定式一共有七种类型:
     0·∞,∞-∞,1
    
     ∞
    
    ,∞
    
     0
    
    ,0
    
     0
    
    ,今后会陆续遇到.求未定式的极限,是极限计算重点关注的问题.
    0·∞,∞-∞,1
    
     ∞
    
    ,∞
    
     0
    
    ,0
    
     0
    
    ,今后会陆续遇到.求未定式的极限,是极限计算重点关注的问题.
   
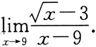
    例4 求极限
     
   
    解 当x→9时,分子、分母的极限均为0,它是
     型未定式.先进行因式分解,再利用极限运算法则,得
    型未定式.先进行因式分解,再利用极限运算法则,得
   
 
   
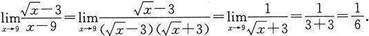
    例5 求极限
     
   
    解 当x→1时,
     和
    和
     均为无穷大,这是∞-∞型未定式,也不能直接使用极限运算法则.对它可先通分,化为分式极限,再进行计算:
    均为无穷大,这是∞-∞型未定式,也不能直接使用极限运算法则.对它可先通分,化为分式极限,再进行计算:
   
 
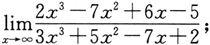
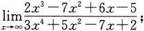
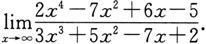
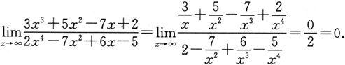
   例6 求下列极限:
    (1)
     
   
    (2)
     
   
    (3)
     
   
    解 (1)显然,当x→∞时,分子、分母都是无穷大,这是
     型未定式.分子、分母同除以x的最高次数x
    
     3
    
    ,再求极限:
    型未定式.分子、分母同除以x的最高次数x
    
     3
    
    ,再求极限:
   
 
   
    (2)这也是
     型未定式,且分母的次数比分子的次数高.先分子、分母同除以x的最高次数x
    
     4
    
    ,再求极限,得
    型未定式,且分母的次数比分子的次数高.先分子、分母同除以x的最高次数x
    
     4
    
    ,再求极限,得
   
 
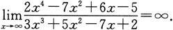
   (3)此时分子的次数比分母的次数高,先考虑分子、分母对调的分式的极限:
 
   
    可见,当x→∞时,
     是无穷小,从而
    是无穷小,从而
     为无穷大,也即
    为无穷大,也即
   
 
   
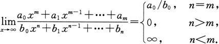
    从例6的三个小题可以看出,当x→∞时,有理分式函数的极限是
     型未定式,它取决于分子、分母关于变量x的次数.若分子、分母关于变量x的次数相等,则其极限等于分子、分母最高次数项的系数之比;若分母的次数比分子高,则其极限为0;若分子的次数比分母高,则其极限为∞.用数学式表达如下:
    型未定式,它取决于分子、分母关于变量x的次数.若分子、分母关于变量x的次数相等,则其极限等于分子、分母最高次数项的系数之比;若分母的次数比分子高,则其极限为0;若分子的次数比分母高,则其极限为∞.用数学式表达如下:
   
 
   显然,分子、分母中的低次项不起作用,关键看的是它们的最高项.因此,可以形象地把计算过程概括为“抓大放小”,只需求最高项比的极限就够了.例如:
 
   
    极限的四则运算法则大大拓宽了极限计算的范围,我们摆脱了步步依靠极限的ε-δ(或ε-X)定义来验证极限(而非求极限)的困境.但是,仍然有很多简单的问题没办法直接求解.例如,对于极限
     尽管前面已经知道
    尽管前面已经知道
     但缺少依据来说明
    但缺少依据来说明
     
     不难发现,
    不难发现,
     是由
    是由
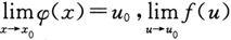
     与u=x+1复合而成的.因此,有必要研究复合函数的极限问题.对此,我们有如下的结论:
    与u=x+1复合而成的.因此,有必要研究复合函数的极限问题.对此,我们有如下的结论:
   
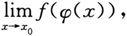
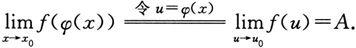
    定理2(复合函数的极限运算法则) 设函数y=f(φ(x))是由函数y=f(u)与函数u=φ(x)复合而成的,f(φ(x))在点x
    
     0
    
    的某个去心邻域内有定义.若极限
     
     且存在δ
    
     0
    
    >0,当0<|x-x
    
     0
    
    |<δ
    
     0
    
    时,有φ(x)≠u
    
     0
    
    ,则
    且存在δ
    
     0
    
    >0,当0<|x-x
    
     0
    
    |<δ
    
     0
    
    时,有φ(x)≠u
    
     0
    
    ,则
   
 
   证明略.
    上述定理说明,在定理条件下求极限
     可以通过作代换u=φ(x),把所求极限转化为
    可以通过作代换u=φ(x),把所求极限转化为
   
 
   
    将极限过程x→x
    
     0
    
    换为x→∞,或者把
     换为
    换为
     同时把
    同时把
     =A换为
    =A换为
     可以得到类似的结论.
    可以得到类似的结论.
   
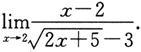
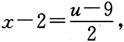
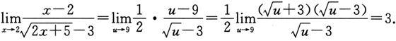
    例7 求极限
     
   
    解 作代换u=2x+5,则
     且当x→2时,有u→9.由定理2得
    且当x→2时,有u→9.由定理2得
   
 
   
    若作代换
     我们容易证明:
    我们容易证明:
   
 
   这个结论可以作为公式直接应用.
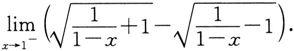
    例8 求极限
     
   
    解 作代换
     则当x→1
    
     -
    
    时,u→+∞.由定理2得
    则当x→1
    
     -
    
    时,u→+∞.由定理2得
   
 
   
    例9 求极限
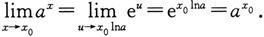
     (a>0且a≠1).
    (a>0且a≠1).
   
    解 由对数恒等式N=e
    
     lnN
    
    得a
    
     x
    
    =e
    
     xlna
    
    .于是a
    
     x
    
    是由f(u)=e
    
     u
    
    与u=φ(x)=xlna复合而成的复合函数.由于
     由定理2知
    由定理2知
   
 
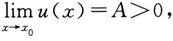
   在§1.1例5中我们知道,幂指函数u(x) v(x) (u(x)>0与v(x)是初等函数)仍然是初等函数.如何求x→x 0 时幂指函数的极限呢?仿照例9,应用对数恒等式与复合函数的极限运算法则,易得下面的推论:
    推论(幂指函数的极限) 设u(x)>0 与v(x)是初等函数,且极限
     
     则有
    则有
   
 
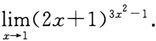
   1.求下列极限:
    (1)
     
   
    (2)
     
   
    (3)
     
   
    (4)
     
   
    (5)
     
   
    (6)
     
   
    (7)
     
   
    (8)
     
   
2.求下列极限:
    (1)
     
   
    (2)
     
   
    (3)
     
   
    (4)
     
   
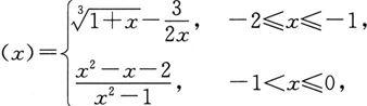
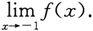
    3.设函数
     求极限
    求极限
     
   
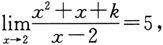
    4.若极限
     求常数k的值.
    求常数k的值.